一、多项选择题
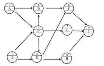
1、下图所示的双代号时标网络计划,执行到第4周末及第10周末时,检查其实际进度图中前锋线所示,检查结果表时( )。

A.第4周末检查时工作A拖后1周,影响工期1周
B.第4周末检查时工作B拖后1周,但不影响工期
C.第10周检查时工作I提前1周,可使工期提前1周
D.在第5周到第10周内,工作F和工作I的实际进度正常
E.第10周末检查时工作G拖后1周,但不影响工期
【参考答案】 AE
【答案解析】 第4周末检查时工作B拖后2周,影响工期1周,故B错。第10周检查时工作I提前1周,但关键线路有两条,所以不能使工期提前,故C错。在第5周到第10周内,工作F和工作I的实际进度超前1周,故D错。
2、根据某工程的双代号时标网络图,下列说法正确的是( )。

A.计算工期为14天
B.工作D的总时差为3天
C.工作A.D.F为关键工作
D.工作E的总时差和自由时差均为2天
E.工作B的总时差为2天,自由时差为0天
【参考答案】 AC
【答案解析】 工作B的总时差为1天,自由时差为0天。
3、某单代号网络图如下图所示,存在的错误有( )。

A.多个起点节点
B.有多余虚箭线
C.出现交叉箭线
D.没有终点节点
E.出现循环回路
【参考答案】 ABC
【答案解析】 单代号网络图中只应有一个起点节点和一个终点节点。当网络图中有多项起点节点或多项终点节点时,应在网络图的两端分别设置一项虚工作,作为该网络图的起点节点和终点节点。单代号网络图工作之间的逻辑关系容易表达,且不用虚箭线,故绘图较简单。绘制网络图时,箭线不宜交叉,当交叉不可避免时,可采用过桥法或指向法绘制。
4、双代号网络图绘制过程中,要遵循一定的规则和要求。下列叙述中,正确的有( )。
A.箭尾节点的编号小于其箭头节点的编号,即i
B.一项工作只有唯一的一条箭线和相应的一个节点
C.节点编号可不连续,但不允许重复
D.箭线长度原则上可以任意画
E.必须要有一项以上的虚工作
【参考答案】 ACD
【答案解析】 选项B,一项工作只有唯一的一条箭线和相应的两个节点;选项E,双代号网络图中不是必须存在虚工作。
5、大型建设工程项目总进度纲要的主要内容包括( )。
A.项目设计技术路线的确定
B.项目施工总进度规划
C.项目总进度目标实现的条件
D.项目施工方案的比选
E.项目实施的总体部署
【参考答案】 BCE
【答案解析】 总进度纲要的主要内容包括:项目实施的总体部署;总进度规划;各子系统进度规划;确定里程碑事件的计划进度目标;总进度目标实现的条件和应采取的措施等。
6、下列关于排列图法的说法正确的有( )。
A.排列图法的主要作用是找出影响质量的各种问题
B.排列图法的主要作用是分清影响质量的主次因素
C.排列图具有直观性
D.排列图法中通常用ABC分类管理法对质量问题因素进行分类
E.排列图法在计算累计频率前,需要先将各质量问题的出现频数从大到小排列
【参考答案】 BCDE
【答案解析】 在质量管理过程中,通过抽样检查或检验试验所得到的关于质量问题、偏差、缺陷、不合格等方面的统计数据,以及造成质量问题的原因分析统计数据,均可采用排列图方法进行状况描述,它具有直观、主次分明的特点。
7、在运用分层法对工程项目质量进行统计分析时,通常可以按照( )等分层方法获取质量原始数据。
A.作业班组
B.作业时间
C.工程材料
D.投资主体
E.进度控制工作流程的编制
【参考答案】 ABC
【答案解析】调查分析的层次划分,根据管理需要和统计目的,通常可按照以下分层方法取得原始数据:按施工时间;按地区部位;按产品材料;按检测方法;按作业组织;按工程类型;按合同结构。
8、工程竣工验收合格后,建设单位应当及时提出工程竣工验收报告。竣工验收报告应附的文件有( )。
A.施工许可证
B.工程质量评估报告
C.验收组人员签署的工程竣工验收意见
D.施工图设计文件审查意见
E.工程竣工验收备案表
【参考答案】 ABCD
【答案解析】工程竣工验收报告还应附有下列文件:(1)施工许可证;(2)施工图设计文件审查意见;(3)工程竣工报告、工程质量评估报告、质量检查报告、工程质量保修书;(4)验收组人员签署的工程竣工验收意见;(5)法规、规章规定的其他有关文件。
9、工程项目分部工程质量验收合格的基本条件有( )。
A.主控项目质量检验合格
B.所含分项工程验收合格
C.质量控制资料完整
D.观感质量验收符合要求
E.涉及安全和使用功能的分部工程检验结果符合规定
【参考答案】 BCD
【答案解析】 选项A属于检验批质量验收的项目之一;选项E,表述不正确。
10、项目监理机构,在施工作业实施过程中,根据其监理规划与实施细则,采取现场( )等形式,对施工作业质量进行监督检查。
A.取样
B.旁站
C.巡视
D.记录
E.平行检验
【参考答案】 BCE
【答案解析】项目监理机构,在施工作业实施过程中,根据其监理规划与实施细则,采取现场旁站、巡视、平行检验等形式,对施工作业质量进行监督检查。
考试交流区成绩查询交流群(点击加入QQ群可快速加群交流成绩查询相关信息我们会及时在群里通知):
温馨提示:有任何报考及考试相关疑问,可添加网校专业老师个人微信号“edu24olxu”咨询。!考生可下载手机APP,随时掌握考试资讯!

扫一扫上面的二维码,添加老师个人微信号,所有课程七折开通
相关推荐:相关文章
如果本站所转载内容不慎侵犯了您的权益,请与我们联系
,我们将会及时处理。如转载本站内容,请注明来源:一级建造师考试网(www.jzsedu.org)。






