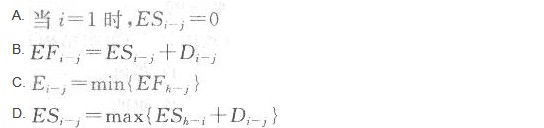
第17题 关于双代号网络计划中时间参数的计算式,下列不正确的是( )。

【正确答案】:C试题解析:
第18题 在PDCA循环中,质量计划阶段的主要任务是( )。
A. 明确目标并制订实现目标的行动方案
B. 展开工程的作业技术活动
C. 对计划实施过程进行各种检查
D. 对质量问题进行原因分析,采取措施予以纠正
【正确答案】:A试题解析:PDCA循环中,质量计划阶段的主要任务是明确目标并制订实现目标的行动方案。B、C、D分别是PDCA循环中实施、检查和处置阶段的工作,故选A。
第19题 ( )是建筑生产中最基本的安全管理制度,是所有安全规章制度的核心。
A. 质量事故处理制度
B. 质量事故统计报告制度
C. 安全生产责任制度
D. 安全生产监督制度
【正确答案】:C试题解析:安全生产责任制度是建筑生产中最基本的安全管理制度,是所有安全规章制度的核心。
第20题 在编制成本支出计划时,为避免可能发现个别工程量表中某项内容的工程量计算有较大出入,使原来的成本预算失实,要在主要的分项工程中安排适当的( )。
A. 预备费
B. 措施费
C. 不可预知费
D. 不可预见费
【正确答案】:D试题解析:在编制成本支出计划时,要在项目总的方面考虑总的预备费,在主要的分项工程中安排适当的不可预见费,避免在具体编制成本时发现个别工程量表中某项内容的工程量计算有较大出入,使原来的成本预算失实。
[1] [2]
考试交流区成绩查询交流群(点击加入QQ群可快速加群交流成绩查询相关信息我们会及时在群里通知):
温馨提示:有任何报考及考试相关疑问,可添加网校专业老师个人微信号“edu24olxu”咨询。!考生可下载手机APP,随时掌握考试资讯!

扫一扫上面的二维码,添加老师个人微信号,所有课程七折开通
相关推荐:相关文章
如果本站所转载内容不慎侵犯了您的权益,请与我们联系
,我们将会及时处理。如转载本站内容,请注明来源:一级建造师考试网(www.jzsedu.org)。





