51、关于质量管理体系八项原则的说法,错误的是( )。
A.满足顾客要求并争取超越顾客的期望
B.将活动和相关的资源作为过程进行管理
C.以产品为关注焦点
D.全员充分参加
52、编制施工管理任务分工表,涉及的事项有:①确定工作部门或个人的工作任务;②项目管理任务分解;③编制任务分工表。正确的编制程序是( )。
A.①→②→③
B.②→①→③
C.③→①→②
D.②→③→①
53、下列关于安全生产责任制的表述,错误的是( )。
A.项目应对各级、各部门安全生产责任制规定检查和考核办法
B.安全生产责任制的运用是清除隐患、防止事故、改善劳动条件的重要手段
C.项目的主要工种应有相应的安全技术操作规程
D.项目独立承包的工程在签订承包合同中必须有安全生产工作的具体指标和要求
54、根据《企业职工伤亡事故分类》(GB6441),下列伤害事故中,属于机械伤害的是( )。
A.起重机吊物坠落砸伤作业人员
B.高处小型机械坠落砸伤地面作业人员
C.搅拌机械传动装置断裂甩出伤人
D.汽车倾覆造成人员伤亡
55、大型建设工程项目总进度目标论证的核心工作是通过编制( )论证总进度目标实现的可能性。
A.总进度计划
B.总进度纲要
C.资金使用计划
D.施工组织设计文件
56、建设工程合同的订立程序中,属于承诺的是( )。
A.招标人通过评标确定中标人,发出中标通知书
B.招标人通过媒体发布招标公告
C.招标人向符合条件的投标人发出招标文件
D.投标人根据招标文件内容在约定的期限内向招标人提交投标文件
57、双代号网络图中,工作是用( )表示的。
A.箭线及其起始节点编号
B.节点及其编号
C.箭线及其两端节点编号
D.箭线及其终点节点编号
58、在进行建设工程项目总进度目标控制前,首先应( )。
A.编制施工总进度规划
B.制定项目进度控制的措施
C.对项目实施进行总体部署
D.分析和论证进度目标实现的可能性
59、一般情况下,验收合格工程的实际竣工日期为( )。
A.组织工程竣工验收的日期
B.实际完成工程的日期
C.工程竣工验收后,发包人给予认可意见的日期
D.承包人提交竣工验收申请报告的日期
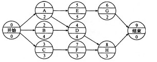
60、某工程单代号网络图如下,则下列说法正确的是( )。
A.工作D的ES为2
B.工作G的FF为2
C.工作F的FF为1
D.工作H的FF为1
考试交流区成绩查询交流群(点击加入QQ群可快速加群交流成绩查询相关信息我们会及时在群里通知):
温馨提示:有任何报考及考试相关疑问,可添加网校专业老师个人微信号“edu24olxu”咨询。!考生可下载手机APP,随时掌握考试资讯!

扫一扫上面的二维码,添加老师个人微信号,所有课程七折开通
相关推荐:相关文章
如果本站所转载内容不慎侵犯了您的权益,请与我们联系
,我们将会及时处理。如转载本站内容,请注明来源:一级建造师考试网(www.jzsedu.org)。





