2016年一级建造师建设工程项目管理预习卷二(1)
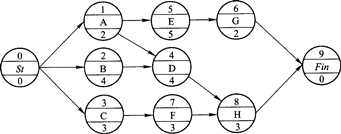
1、某工程单代号网络图如下,正确的是( )。

A.工作D的ES为2
B.工作G的FF为2
C.工作F的FF为1
D.工作H的FF为1
2、建设工程项目进度控制的目的是( )。
A.通过控制以实现工程的进度目标
B.编制进度计划
C.论证进度目标是否合理
D.跟踪检查进度计划
3、已知某施工项目的计划数据见下表。则第3周的施工成本计划值是( )万元。

A.30
B.60
C.75
D.90
4、采用实际费用法计算索赔费用时,( )即是承包商应得的索赔金额。
A.直接费的额外费用
B.直接费的额外费用+应得的利润
C.直接费的额外费用+应得的间接费
D.直接费的额外费用+应得的间接费和利润
5、 FIDIC系列合同条件中,采用固定总价方式计价、只有在出现某些特定风险时才 能调整的合同是( )。
A.施工合同条件
B.EPC交钥匙项目合同条件
C.永久设备和设计一建造合同条件
D.简明合同格式
6、某工程由于安装的生产设备存在质量缺陷,导致其中某分部工程质量不合格,施工单位在更换了该生产设备后,该分部工程应( )。
A.按验收程序重新组织验收
B.经有资质的检测单位检测鉴定后予以验收
C.征得建设单位同意后可予以验收
D.按技术处理方案和协商文件,进行验收
7、在网络计划中,工作N最早完成时间为第l7天,持续时间为5天。该工作有三项紧后工作,它们的最早开始时间分别为第25天、第27天和第30天,则工作N的自由时差为( )天。
A.13
B.8
C.3
D.5
8、最基本的安全管理制度,也是所有安全生产管理制度的核心是( )。
A.安全生产责任制
B.安全教育制度
C.安全检查制度
D.安全监察制度
9、根据《中华人民共和国招标投标法》,可以不采用法定招标方式确定承包人的项目是( )。
A.涉及国家安全或者抢险救灾的项目
B.大型基础设施、公用事业等关系社会公共利益、公众安全的项目
C.使用国际组织或外国政府资金的项目
D.全部或者部分使用国有资金投资或者国家融资的项目
10、建设工程施工质量验收时,对涉及结构安全和使用功能的重要分部工程,应进行( )检测。
A.安全
B.功能性
C.抽样
D.试验
考试交流区成绩查询交流群(点击加入QQ群可快速加群交流成绩查询相关信息我们会及时在群里通知):
温馨提示:有任何报考及考试相关疑问,可添加网校专业老师个人微信号“edu24olxu”咨询。!考生可下载手机APP,随时掌握考试资讯!

扫一扫上面的二维码,添加老师个人微信号,所有课程七折开通
相关推荐:相关文章
版权声明 --------------------------------------------------------------------------------------
如果本站所转载内容不慎侵犯了您的权益,请与我们联系
,我们将会及时处理。如转载本站内容,请注明来源:一级建造师考试网(www.jzsedu.org)。
如果本站所转载内容不慎侵犯了您的权益,请与我们联系
,我们将会及时处理。如转载本站内容,请注明来源:一级建造师考试网(www.jzsedu.org)。





