不妥一:按等强度折算后进行钢筋代换。
理由:当构件按最小配筋率配筋时,或同钢号钢筋之间的代换,按钢筋代换前后面积相等的原则进行代换。
不妥二:征得监理单位和建设单位同意后,按此组织钢筋代换。
理由:钢筋代换时,一定要征得设计单位的同意。
3.【参考答案】
事件二中不妥之处和理由分别如下:
不妥一:保证每一构件底模表面在同一个平面上,无凹凸不平问题。
理由:对于跨度不小于4m的现浇钢筋混凝土梁、板,其模板应按设计要求起拱。当设计无具体要求时,起拱高度应为跨度的1/1000~3/1000。
不妥二:浇筑完毕20小时后覆盖并浇水养护。
理由:应在混凝土浇筑完成、终凝前(通常为混凝土浇筑完毕后8~12h内)开始进行养护。
不妥三:从标准养护室取出一组送检试压后强度判断拆除底模与架体支撑。
理由:应该用同条件养护试块试压后强度判断拆除底模与架体支撑。
4.【参考答案】
(1)监理工程师不同意变更估价:合理。
理由:承包人应在收到变更指示后14天内.向监理人提交变更估价申请。若承包方未提出或未在规定时间内提出变更估价,视为该项变更不涉及合同价款的变动。
(2)除专用合同条款另有约定外,变更估价按照本款约定处理:
①已标价工程量清单或预算书有相同项目的,按照相同项目单价认定;
②已标价工程量清单或预算书中无相同项目,但有类似项目的。参照类似项目的单价认定;
③变更导致实际完成的变更工程量与已标价工程量清单或预算书中列明的该项目工程量的变化幅度超过15%的,或已标价工程量清单或预算书中无相同项目及类似项目单价的,按照合理的成本与利润构成的原则,由合同当事人商定或确定变更工作的单价。
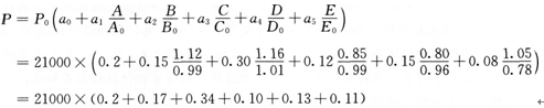
5.【参考答案】
动态结构调值公式及计算过程如下:
先计算不调值部分所占比重1-(0.35+0.05+0.15+0.15+0.1=0.2

=22050万元(如用科学计算器,计算过程中不舍小数位,结果应为:22049.45万元)
[1] [2]
考试交流区成绩查询交流群(点击加入QQ群可快速加群交流成绩查询相关信息我们会及时在群里通知):
温馨提示:有任何报考及考试相关疑问,可添加网校专业老师个人微信号“edu24olxu”咨询。!考生可下载手机APP,随时掌握考试资讯!

扫一扫上面的二维码,添加老师个人微信号,所有课程七折开通
相关推荐:相关文章
如果本站所转载内容不慎侵犯了您的权益,请与我们联系
,我们将会及时处理。如转载本站内容,请注明来源:一级建造师考试网(www.jzsedu.org)。





