1.横道图进度计划与网络计划相比,其优点有( )。
A.适用于手工编制计划
B.能够清楚地表达活动的持续时间
C.表达方式较为直观
D.能清楚表达活动间的逻辑关系
E.可以与劳动力计划相结合
2.横道图进度计划存在的不足有( )。
A.表达直观
B.难以适应大的进度计划系统
C.计划调整只能以手工方式进行
D.不能确定计划的关键工作、关键路线与时差
E.工序(工作)之间的逻辑关系可以设法表达,但不易表达清楚
3.非确定型网络计划有( )。
A.计划评审技术 B.图示评审技术
C.风险评审技术 D.搭接网络计划
E.决策关键线路法
4.按照工作持续时间的特点不同,工程网络计划可划分为( )。
A.肯定型网络计划 B.随机型网络计划
C.分级型网络计划 D.事件型网络计划
E.非肯定型网络计划
5.关于网络计划的说法,正确的有( )。
A.时标网络计划中可以存在波形线
B.单代号网络计划中不存在虚工作
C.单代号网络计划中存在虚箭线
D.双代号网络计划中不存在虚工作
E.双代号网络计划中可以存在虚箭线
6.双代号网络计划的特点有( )。
A.相邻两关键工作的时间间隔为零
B.关键工作两端的节点为关键节点
C.关键工作的总时差为零
D.关键线路的总持续时间最长
E.关键节点的最早时间与最迟时间相等
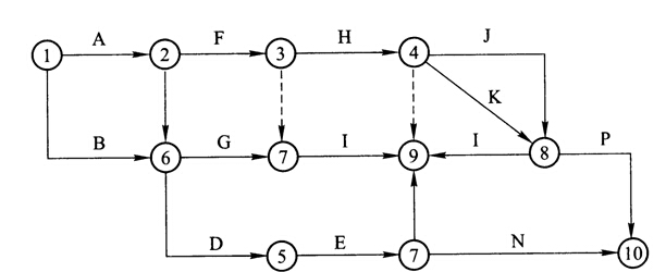
7.某分部工程双代号网络计划如下图所示,其中存在的绘图错误有( )。
A.循环回路 B.多个终点节点

C.多个起点节点 D.节点编号重复
E.两项工作有相同的代号
8.工程网络计划的计算工期等于( )。
A.单代号网络计划中终点节点所代表的工作的最早完成时间
B.单代号网络计划中终点节点所代表的工作的最迟完成时间
C.双代号网络计划中结束工作的最早完成时间的最大值
D.双代号网络计划中结束工作的最迟完成时间的最大值
E.时标网络计划中最后一项关键工作的最早完成时间
9.下列网络计划参数中,以计划工期作为约束条件的有( )。
A.最早完成时间 B.总时差
C.最迟完成时间 D.自由时差
E.时间间隔
10.双代号时标网络计划能够清楚地表明工程计划的时间进程,可以在图上直接显示出的时间参数有( )。
A.工作的最早开始时间 B.关键线路
C.工作的总时差 D.工作的最迟开始时间
E.工作的自由时差
[1] [2] [3] [4] [5] [6] [7] [8] [9] 
考试交流区成绩查询交流群(点击加入QQ群可快速加群交流成绩查询相关信息我们会及时在群里通知):
温馨提示:有任何报考及考试相关疑问,可添加网校专业老师个人微信号“edu24olxu”咨询。!考生可下载手机APP,随时掌握考试资讯!

扫一扫上面的二维码,添加老师个人微信号,所有课程七折开通
相关推荐:相关文章
如果本站所转载内容不慎侵犯了您的权益,请与我们联系
,我们将会及时处理。如转载本站内容,请注明来源:一级建造师考试网(www.jzsedu.org)。
环球网校一级建造师历年通过率比较
![]() 张君老师 |
张君老师:建造师管理授课老师,硕士。课堂气氛活跃,善于调动学员积极性,被学员称为神君老师。..[详细] |
![]() 陈明教授 |
陈明:市政授课老师。有“市政之神”和“建造师市政第一人”的美誉。工程实践培训经验丰富,授课思路清晰..[详细] |





