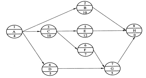
21.某双代号网络计划如下图所示,其关键线路有( )条。

A.2 B.3
C.4 D.5
22.某工程单代号网络计划如下图所示,其关键线路有( )条。

A. 2 B.3
C. 4 D.5
23.已知某工程双代号网络计划的计划工期等于计算工期,且工作M的开始节点和完成节点均为关键节点,下列关于工作M说法正确的是( )。
A.为关键工作 B.总时差等于自由时差
C.自由时差为零 D.总时差大于自由时差
24.在网络计划中,工作的总时差是指在不影响( )的前提下,该工作可以利用的机动时间。
A.紧后工作最早开始时间 B.后续工作最早开始时间
C.紧后工作最迟开始时间 D.紧后工作最早完成时间
25.在网络计划中,工作的自由时差是指在不影响( )的前提下,该工作可以利用的机动时间。
A.紧后工作最早开始时间 B.后续工作最早开始时间
C.紧后工作最迟开始时间 D.紧后工作最早完成时间
26.在网络计划中,工作N最迟完成时间为第25天,持续时间为6天。该工作有三项紧前工作,它们的最早完成时间分别为第10天、第12天和第13天,则工作N的总时差为( )天。
A.6 B.9
C.12 D.15
27.在网络计划中,工作N最早完成时间为第17天,持续时间为5天。该工作有三项紧后工作,它们的最早开始时间分别为第25天、第27天和第30天,则工作N的自由时差为( )天。
A.13 B.8
C.3 D.5
28.在网络计划执行过程中,若某项工作比原计划拖后,当拖后的时间大于其拥有的自由时差时,则肯定影响( )。
A.总工期 B.后续工作
C.所有紧后工作 D.某些紧后工作
29.检查网络计划时,发现某工作尚需作业A天,到该工作计划最迟完成时刻尚余B天,原有总时差为C天,则该工作尚有总时差为( )天。
A.C--A B.C--B
C.A--B D.B--A
30.在某工程网络计划中,已知工作M的总时差和自由时差分别为7天和5天,检查实际进度时发现该工作的持续时间延长了3天,说明此时工作M的实际进度( )。
A.既不影响总工期,也不影响其后续工作的正常进行
B.不影响总工期,但将其后续工作的开始时间推迟3天
C.将使总工期延长3天,但不影响其后续工作的正常进行
D.将其后续工作的开始时间推迟3天,并使总工期延长3天
[1] [2] [3] [4] [5] [6] [7] [8] [9] 
考试交流区成绩查询交流群(点击加入QQ群可快速加群交流成绩查询相关信息我们会及时在群里通知):
温馨提示:有任何报考及考试相关疑问,可添加网校专业老师个人微信号“edu24olxu”咨询。!考生可下载手机APP,随时掌握考试资讯!

扫一扫上面的二维码,添加老师个人微信号,所有课程七折开通
相关推荐:相关文章
如果本站所转载内容不慎侵犯了您的权益,请与我们联系
,我们将会及时处理。如转载本站内容,请注明来源:一级建造师考试网(www.jzsedu.org)。
环球网校一级建造师历年通过率比较
![]() 张君老师 |
张君老师:建造师管理授课老师,硕士。课堂气氛活跃,善于调动学员积极性,被学员称为神君老师。..[详细] |
![]() 陈明教授 |
陈明:市政授课老师。有“市政之神”和“建造师市政第一人”的美誉。工程实践培训经验丰富,授课思路清晰..[详细] |





