1Z101083等值的计算
资金有时间价值,即使金额相同,因其发生在不同时间,其价值就不相同。反之,不同时点绝对不等的资金在时间价值的作用下却可能具有相等的价值。这些不同时期、不同数额但其“价值等效”的资金称为等值,又叫等效值。资金等值计算公式和复利计算公式的形式是相同的。常用的等值复利计算公式有一次支付的终值和现值计算公式,等额支付系列的终值、现值、资金回收和偿债基金计算公式。
(1)一次支付的终值和现值计算
由式(1Z101082-7)可以看出,其使用很不方便。因为它要一周期一周期地计算,如果周期数很多,计算是十分繁琐的。而且在式(1Z101082-7)中没有直接反映出本金P、本利和F、利率i、计息周期数n等要素的关系。所以有必要对式(1Z101082-6)和式(1Z101082-7)根据现金流量支付情形进一步简化。其中一次支付是最基本的现金流量情形。
一次支付又称整付,是指所分析系统的现金流量,无论是流入或是流出,分别在时点上只发生一次,如图1Z101083-1所示。一次支付情形的复利计算式是复利计算的基本公式。
图1Z1010831一次支付现金流量图
图1Z101083-1中 i--计息期复利率;
n--计息的期数;
P--现值(即现在的资金价值或本金,Present Va1ue),资金发生在(或折算为)某一特定时间序列起点时的价值;
F--终值(即n期末的资金值或本利和,Future Va1ue),资金发生在(或折算为)某一特定时间序列终点的价值。
①终值计算(已知P求F)
现有一项资金P,年利率i,按复利计算,n年以后的本利和为多少?根据复利的定义即可求得n年末本利和(即终值)F如表1Z101083-1所示。
|
计息期 |
期初金额(1) |
本期利息额(2) |
期末本利和Ft=(1)+(2) |
|
1 |
P |
P·i |
F1=P+P·i= P(1+i) |
|
2 |
P(1+i) |
P(1+i)·i |
F2= P(1+i)+P(1+i)·i=P(1+i)2 |
|
3 |
P(1+i)2 |
P(1+i)2·i |
F3=P(1+i)2+P(1+i)2·i=P(1+i)3 |
|
: |
: |
: |
: |
|
: |
: |
: |
: |
|
: |
: |
: |
: |
|
n |
P(1+i)n-1 |
P(1+i)n-1·i |
F=Fn= P(1+i)n-1+P(1+i)n-1·i= P(1+i)n |
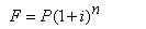
由表1Z101083-1可知,一次支付n年末终值(即本利和)F的计算公式为:
(1Z101083-1)
式中称之为一次支付终值系数,用表示,式(1Zl01083-1)又可写成:
(1Z101083-2)
在这类符号中,括号内斜线上的符号表示所求的未知数,斜线下的符号表示已知数。整个符号表示在已知P、i和n的情况下求解下的值。
【例1Z101083.1】某人借款10000元,年复利率i=10%,试问5年末连本带利一次需偿还多少?
解:按式(1Z101083-1)计算得:

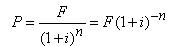
②现值计算(已知F求P)
由式(1Z101083-1)的逆运算即可得出现值P的计算式为:
(1Z101083-3)
式中称为一次支付现值系数,用符号表示。式(1Z101083-3)又可写成:
(1Z101083-4)
一次支付现值系数这个名称描述了它的功能,即未来一笔资金乘上该系数就可求出其现值。工程经济分析中,一般是将未来值折现到零期。计算现值P的过程叫“折现”或“贴现”,其所使用的利率常称为折现率或贴现率。故
一二建考试报名三色笔记历年真题资料免费领取可加入环球网校抖音号粉丝群领取(扫描抖音二维码环球网校抖音号加入可免费领取我们会及时在群里通知):

扫一扫上面的二维码,添加环球网校抖音号,资料免费领取
温馨提示:有任何报考及考试相关疑问,可添加网校专业老师个人微信号“hqwxxu”咨询。!考生可下载手机APP,随时掌握考试资讯!

扫一扫上面的二维码,添加老师个人微信号,所有课程七折开通
相关推荐:相关文章
如果本站所转载内容不慎侵犯了您的权益,请与我们联系
,我们将会及时处理。如转载本站内容,请注明来源:一级建造师考试网(www.jzsedu.org)。
环球网校一级建造师历年通过率比较
![]() 张君老师 |
张君老师:建造师管理授课老师,硕士。课堂气氛活跃,善于调动学员积极性,被学员称为神君老师。..[详细] |
![]() 陈明教授 |
陈明:市政授课老师。有“市政之神”和“建造师市政第一人”的美誉。工程实践培训经验丰富,授课思路清晰..[详细] |






