也可叫折现系数或贴现系数。
【例1Z101083-2】某人希望5年末有10000元资金,年复利率i=10%,试问现在须一次存款多少?
解:由式(1Z101083-3)得:

从上面计算可知,现值与终值的概念和计算方法正好相反,因为现值系数与终值系数是互为倒数,即
。在P一定,n相同时,i越高,F越大;在i相同时,n越长,F越大,如表1Z101083-2。在F一定,n相同时,i越高,P越小;在i相同时,n越长,P越小,如表1Z101083-3。
一元现值与终值的关系 表1Z101083-2
|
时 间
利 率 |
1年 |
5年 |
10年 |
20年 |
|
1% |
1.0100 |
1.0510 |
1.1046 |
1.2201 |
|
5% |
1.0500 |
1.2762 |
1.6288 |
2.0789 |
|
8% |
1.0800 |
1.4963 |
2.1589 |
4.6609 |
|
10% |
1.1000 |
1.6105 |
2.5937 |
6.7273 |
|
12% |
1.1200 |
1.7623 |
3.1058 |
9.6462 |
|
15% |
1.1500 |
2.0113 |
4.0455 |
16.366 |
一元终值与现值的关系 表1Z101083-3
|
时 间
利 率 |
1年 |
5年 |
10年 |
20年 |
|
1% |
0.99010 |
0.95147 |
0.90530 |
0.81957 |
|
5% |
0.95238 |
0.78358 |
0.61392 |
0.37690 |
|
8% |
0.92593 |
0.68059 |
0.46320 |
0.21455 |
|
10% |
0.90909 |
0.62092 |
0.38555 |
0.14865 |
|
12% |
0.89286 |
0.56742 |
0.32197 |
0.10367 |
|
15% |
0.86957 |
0.49718 |
0.24719 |
0.06110 |
从表1Z101083-2可知,按12%的利率,时间20年,现值与终值相差9.6倍。在工程经济分析中,现值比终值使用更为广泛。
在工程经济评价中,由于现值评价常常是选择现在为同一时点,把方案预计的不同时期的现金流量折算成现值,并按现值之代数和大小做出决策,因此,在工程经济分析时应当注意以下两点:
一是正确选取折现率,折现率是决定现值大小的一个重要因素,必须根据实际情况灵活选用。
二是要注意现金流量的分布情况。例如,在投资额一定的情况下,是早投资还是晚投资,是集中投资还是分期投资,它们的投资现值是不一样的。
(2)等额支付系列的终值、现值、资金回收和偿债基金计算等额支付系列现金流量序列是连续的,且数额相等,即:
(1Z101083-5)
式中 A--年金,发生在(或折算为)某一特定时间序列各计息期末(不包括零期)的等额资金序列的价值。
等额支付系列现金流量如图1Z101083-2所示。
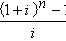
①终值计算(即已知A求F)
由式(1Z101083-1)可得出等额支付系列现金流量的终值为:

图1Z101083(等额支付系列现金流量示意图
(a)年金与终值关系;(b)年金与现值关系
(1Z101083-6)
式中
称为等额支付系列终值系数或年金终值系数,用符号表示。
则式(1Z101083-6)又可写成:
一二建考试报名三色笔记历年真题资料免费领取可加入环球网校抖音号粉丝群领取(扫描抖音二维码环球网校抖音号加入可免费领取我们会及时在群里通知):

扫一扫上面的二维码,添加环球网校抖音号,资料免费领取
温馨提示:有任何报考及考试相关疑问,可添加网校专业老师个人微信号“hqwxxu”咨询。!考生可下载手机APP,随时掌握考试资讯!

扫一扫上面的二维码,添加老师个人微信号,所有课程七折开通
相关推荐:相关文章
如果本站所转载内容不慎侵犯了您的权益,请与我们联系
,我们将会及时处理。如转载本站内容,请注明来源:一级建造师考试网(www.jzsedu.org)。
环球网校一级建造师历年通过率比较
![]() 张君老师 |
张君老师:建造师管理授课老师,硕士。课堂气氛活跃,善于调动学员积极性,被学员称为神君老师。..[详细] |
![]() 陈明教授 |
陈明:市政授课老师。有“市政之神”和“建造师市政第一人”的美誉。工程实践培训经验丰富,授课思路清晰..[详细] |







