2018年一建考试水利知识:水利水电_第2页
【考点】水流形态及消能方式
水流形态
主要包括:恒定流与非恒定流、均匀流与非均匀流、层流与紊流、急流与缓流。
层流与紊流
紊流:当流速较大,各流层的液体质点形成涡体,在流动过程中互相混搀,该流动形态为紊流。实际工程中紊流是最为常见的流态,如闸后、跌水、泄水、水轮机中的水流均为紊流。

急流与缓流
(1)急流:当水深小于临界水深,佛汝德数大于l的水流,称为急流。当急流受到建筑物或其他障碍物作用时,其干扰作用只影响下游,不影响上游。
(2)缓流:当水深大于临界水深,佛汝德数小于l的水流,称为缓流。缓流表现形态为:当水流遇到障碍物时,障碍物对水流的干扰可向上游传播,表现为上游的水位壅高。

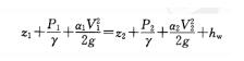
2.能量转换
恒定水流的能量方程为:

水体的机械能:位能、压能和动能,在水体流动过程中是可以互相转化的。
明渠均匀流中,压能、动能不变,而位能逐渐减小,是由于克服阻力,产生沿程水头损失。
水库(水闸等)泄水,水流从泄水口喷射而出.位能转化为动能。
[1] [2]
考试交流区成绩查询交流群(点击加入QQ群可快速加群交流成绩查询相关信息我们会及时在群里通知):
温馨提示:有任何报考及考试相关疑问,可添加网校专业老师个人微信号“edu24olxu”咨询。!考生可下载手机APP,随时掌握考试资讯!

扫一扫上面的二维码,添加老师个人微信号,所有课程七折开通
相关推荐:相关文章
版权声明 --------------------------------------------------------------------------------------
如果本站所转载内容不慎侵犯了您的权益,请与我们联系
,我们将会及时处理。如转载本站内容,请注明来源:一级建造师考试网(www.jzsedu.org)。
如果本站所转载内容不慎侵犯了您的权益,请与我们联系
,我们将会及时处理。如转载本站内容,请注明来源:一级建造师考试网(www.jzsedu.org)。





