2011年一级建造师考试建筑工程精讲班讲义精选(9)
【2007年真题】同一长度的压杆,截面积及材料均相同,仅两端支承条件不同,则( )杆的临界力最小。 P3
A.两端铰支
B.一端固定,一端自由
C.一端固定,一端铰支
D.两端固定
【2006年真题】受压杆在下列支承情况下,若其他条件相同,临界力最大的是( )。P3
A.一端固定,一端自由
B.一端固定,一端铰支
C.两端固定
D.两端铰支
【2005年真题】受压物件,两端铰支,临界力为50kN,若将物件改为两端固定,则其临界力为( )kN。P3
A.50
B.100 一级建造师
C.1500
D.200
【2007年真题】普通房屋的正常设计使用年限为( )年。P4
A.10
B.25
C.50
D.100
6.基础中纵向受力钢筋有垫层的混凝土保护层厚度不应小于( )mm。 P5
A.50
B
C.45
D.40
【2009年真题】建筑装饰装修过程中,凿掉梁的混凝土保护层,未采取有效的补救措施时,对混凝土保护层的正确处理是( )。 P8
A.采用与原混凝土强度同等级的细石混凝土重新浇筑
B.采用比原混凝土强度高一个等级的细石混凝土重新浇筑
C.采用1∶1高强度水泥砂浆分层抹面
D.采用掺加膨胀剂的1∶1水泥砂浆灌浆
二、适应性要求
1.悬臂梁在100KN/m均分布荷载作用下,端部最大位移为
A.2
B
C.16
D.32
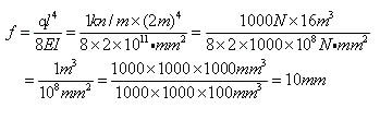
【2009年真题】有一悬臂梁,受力见图,q=1kN/m,EI=2×10N.mm2,l=
A.5
B
C.15
D.20

2. 关于简支梁变形大小的影响因素,下列表述正确的是。P4
A.跨度越大,变形越大
B.截面的惯性矩越大,变形越大
C.材料的弹性模量越大,变形越小
D.材料弹性模量越大,变形越大
E.外荷载越大,变形越大
答案:ACE
三、掌握耐久性要求
1.纪念性建筑物在统计使用年限为( )年。P4
A.5
B
C.50
D.100
2.混凝土的( )对结构构件的耐久性有决定性的影响。P5
A.配合比
B.保护层厚度
C.强度
D.等级
3.对于一类、二类和三类环境中,设计使用年限为50年的结构混凝土,其( )和最大氧离子含量以及最大碱含量必须符合规定。P5
A.最大水灰比
B.最小水泥用量
C.最低混凝土强度
D.最小水灰比
E.最小水泥用量
四、掌握荷载及对建筑结构的影响
1.地震力对建筑物的作用,按随时间的变异分类,属于( )。P6
A.永久作用
B.短暂作用
C.可变作用
D.偶然作用
2.在二楼楼面上铺设木地板属于对楼板增加了( [1] [2] 
考试交流区成绩查询交流群(点击加入QQ群可快速加群交流成绩查询相关信息我们会及时在群里通知):
温馨提示:有任何报考及考试相关疑问,可添加网校专业老师个人微信号“edu24olxu”咨询。!考生可下载手机APP,随时掌握考试资讯!

扫一扫上面的二维码,添加老师个人微信号,所有课程七折开通
相关推荐:相关文章
如果本站所转载内容不慎侵犯了您的权益,请与我们联系
,我们将会及时处理。如转载本站内容,请注明来源:一级建造师考试网(www.jzsedu.org)。
环球网校一级建造师历年通过率比较
![]() 张君老师 |
张君老师:建造师管理授课老师,硕士。课堂气氛活跃,善于调动学员积极性,被学员称为神君老师。..[详细] |
![]() 陈明教授 |
陈明:市政授课老师。有“市政之神”和“建造师市政第一人”的美誉。工程实践培训经验丰富,授课思路清晰..[详细] |





