2019一级建造师《建设工程经济》计算题考点
1Z101000 工程经济
考点十:P63 设备租金(R) 【2018、2015、2014】
(一)附加率法 
P--租赁资产的价格;N--租赁期数;i一与租赁期数相对应的利率;r--附加率
【真题重现】
【2018】某施工企业拟租赁一台设备,该设备价格为100万元,寿命期和租期均为6年,每年年末支付租金,折现率为6%,附加率为3%,则按附加率法计算每年租金为( )万元。
A.18.00
B.22.67
C.25.67
D.36.00
答案:C
解析:R=P×(1+N×i)/N+P×r=100×(1+6×6%)/6+100×3%=25.67(万元)
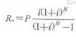
(二)年金法 
Ra--每期期末支付的租金额;i--与租赁期数相对应的利率或折现率
考试交流区成绩查询交流群(点击加入QQ群可快速加群交流成绩查询相关信息我们会及时在群里通知):
温馨提示:有任何报考及考试相关疑问,可添加网校专业老师个人微信号“edu24olxu”咨询。!考生可下载手机APP,随时掌握考试资讯!

扫一扫上面的二维码,添加老师个人微信号,所有课程七折开通
相关推荐:相关文章
如果本站所转载内容不慎侵犯了您的权益,请与我们联系
,我们将会及时处理。如转载本站内容,请注明来源:一级建造师考试网(www.jzsedu.org)。
环球网校一级建造师历年通过率比较
![]() 张君老师 |
张君老师:建造师管理授课老师,硕士。课堂气氛活跃,善于调动学员积极性,被学员称为神君老师。..[详细] |
![]() 陈明教授 |
陈明:市政授课老师。有“市政之神”和“建造师市政第一人”的美誉。工程实践培训经验丰富,授课思路清晰..[详细] |





