2019一级建造师《建设工程经济》计算题考点
1Z101000 工程经济
考点二:P11名义利率和有效利率的计算【2018、2015、2014】
(两者关系实质上与复利和单利的关系一样)
(一)名义利率(年利率)
r=i×m [名义利率=计息周期利率×一年内的计息周期数]
(二)有效利率(资金在计息中所发生的实际利率)
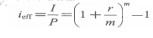
1.计息周期有效利率 
2.年有效利率 
3.资金收付周期有效利率/实际利率:可简化为
注意:r名义利率;m名义利率周期包含的计息周期数;n是实际利率周期包含的计息次数
考法1、求有效利率
【真题重现】
【2018】已知年名利率为8%,每季度复利计息一次,则年有效利率为( )。
A.8.8%
B.8.24%
C.8.16%
D.8.00%
参考答案:B
解析:(1+8%/4)4-1=8.24%,一年中有4个季度
考法2、求二者之间差值
【真题重现】
【2015】某借款年利率为8%,半年复利计息一次,则该借款年有效利率比名义利率高( )。
A.0.16%
B.1.25%
C.4.16%
D.0.64%
参考答案:A
解析:年有效利率(1+8%/2)2-1=8.16%,一年中有2个半年、计息2次;则该借款年有效利率比名义利率高8.16%-8%=0.16%。
考试交流区成绩查询交流群(点击加入QQ群可快速加群交流成绩查询相关信息我们会及时在群里通知):
温馨提示:有任何报考及考试相关疑问,可添加网校专业老师个人微信号“edu24olxu”咨询。!考生可下载手机APP,随时掌握考试资讯!

扫一扫上面的二维码,添加老师个人微信号,所有课程七折开通
相关推荐:相关文章
如果本站所转载内容不慎侵犯了您的权益,请与我们联系
,我们将会及时处理。如转载本站内容,请注明来源:一级建造师考试网(www.jzsedu.org)。
环球网校一级建造师历年通过率比较
![]() 张君老师 |
张君老师:建造师管理授课老师,硕士。课堂气氛活跃,善于调动学员积极性,被学员称为神君老师。..[详细] |
![]() 陈明教授 |
陈明:市政授课老师。有“市政之神”和“建造师市政第一人”的美誉。工程实践培训经验丰富,授课思路清晰..[详细] |





