网校导读:一级建造师网校整理了2013年注册建造师建设工程经济试题及答案资料,供广大考生备考2013年一级建造师考试,祝您顺利通过一级建造师考试!
2013年报名专题:2013年一级建造师报名时间专题
命题考点三 名义利率和有效利率的计算
【教材解读】
一、名义利率的计算
所谓名义利率r是指计息周期利率i乘以一年内的计息周期数m所得的年利率,即:r=i×m
通常所说的年利率都是名义利率。
二、有效利率的计算
有效利率是指资金在计息中所发生的实际利率,包括计息周期有效利率和年有效利率两种情况。
(1)计息周期有效利率,即计息周期利率i的计算:

(2)年有效利率,即年实际利率。
若用计息周期利率来计算年有效利率,并将年内的利息再生因素考虑进去,这时所得的
年利率称为年有效利率(又称年实际利率)。
三、名义利率与实际利率的换算
名义利率与实际利率的换算见表1-2。

【命题考点】
名义利率;计息周期有效利率;年有效利率;名义利率与实际利率的换算。
【分析预测】
(1)基本上每年会单独考核一道有关名义利率与实际利率换算的题目,而且在其他的计算题中也会涉及名义利率与实际利率换算的问题。
(2)考生要根据表中的换算公式总结出规律来记忆,基本换算公式中的两个m的含义不同,考生一定要区分。
【考题回顾】
【2010年度考试真题】
年利率8%,按季度复利计息,则半年期实际利率为()。
A.4.00%
B.4.04%
C.4.07%
D.4.12%
【答案】B本题考核的是名义利率和实际利率的换算。
。
提示:r/m中的m等于一年计息的次数(本题中,一年有四个季度,就计息四次),公式中的指数m等于所求实际利率的周期与计息周期的比值。
【2009年度考试真题】
已知年名义利率为10%,每季度计息1次,复利计息,则年有效利率为()。
A.10.47%
B.10.38%
C.10.25%
D.10.00%
【答案】B本题考核的是年有效利率的计算。

【2007年度考试真题】
已知年利率12%,每月复利计息一次,则季实际利率为()。
A.1.003%
B.3.00%
C.3.03%
D.4.00%
【答案】C本题考核的是季实际利率的计算。有效利率=r/m=12%/12=1%,则季有效利率=(1+12%/12)3-1=3.03%。
【2006年度考试真题】
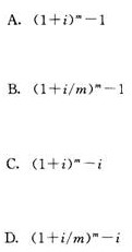
年名义利率为i,一年内计息周期数为m,则年有效利率为()。
【答案】B本题考核的是年有效利率的计算公式。年有效利率的计算公式为F=(1+i/m)m-1。【典型习题】
1.若名义利率一定,年有效利率与一年中计息周期数m的关系为()。
A.计息周期增加,年有效利率不变
B.计息周期增加,年有效利率减小
C.计息周期增加,年有效利率增加
D.计息周期减小,年有效利率增加
2.某笔贷款的利息按年利率为10%,每季度复利计息,其贷款的年有效利率为()。
A.10.38%
B.10.46%
C.10.00%
D.10.25%
3.年名义利率8%,按季计算,则利息期有效利率和年有效利率分别是()。
A.2.O0%,8.00%
B.2.00%,8.24%
C.2.06%,8.00%
D.2.06%,8.24%
4.现在存款2000元,年利率10%,半年复利一次,则第6年年末存款金额为()。
A.1254.23
B.2543.12
C.2865.14
D.3591.71
【答案】1.C2.A3.B4.D
一二建考试报名三色笔记历年真题资料免费领取可加入环球网校抖音号粉丝群领取(扫描抖音二维码环球网校抖音号加入可免费领取我们会及时在群里通知):

扫一扫上面的二维码,添加环球网校抖音号,资料免费领取
温馨提示:有任何报考及考试相关疑问,可添加网校专业老师个人微信号“hqwxxu”咨询。!考生可下载手机APP,随时掌握考试资讯!

扫一扫上面的二维码,添加老师个人微信号,所有课程七折开通
相关推荐:相关文章
如果本站所转载内容不慎侵犯了您的权益,请与我们联系
,我们将会及时处理。如转载本站内容,请注明来源:一级建造师考试网(www.jzsedu.org)。
环球网校一级建造师历年通过率比较
![]() 张君老师 |
张君老师:建造师管理授课老师,硕士。课堂气氛活跃,善于调动学员积极性,被学员称为神君老师。..[详细] |
![]() 陈明教授 |
陈明:市政授课老师。有“市政之神”和“建造师市政第一人”的美誉。工程实践培训经验丰富,授课思路清晰..[详细] |





