单项选择题
1.贵重的设备宜采用()。
A.融资租赁
B.经营租赁
C.购买
D.合资引进
2.下列关于设备租赁的说法,错误的是()。A.设备租赁有融资租赁和经营租赁
B.在融资租赁中,不得任意中止和取消租约
C.在经营租赁中,不可以在随时通知对方后的规定期限内取消或中止租约
D.临时使用的设备通常采用经营租赁方式
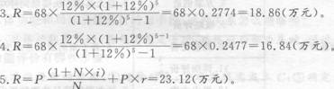
3.租赁公司拟出租给某企业一台设备,设备的价格为68万元,租期为5年,每年年末支付租金,折现率为l2%,每年租金为()万元。
A.18.86
B.16.84
C.16,86
D.18.84
4.租赁公司拟出租给某企业一台设备,设备的价格为68万元,租期为5年,每年年初支付租金,折现率为12%,每年租金为()万元。
A.18.86
B.16.84
C.16.86
D.18.84
5.租赁公司拟出租给某企业一台设备,设备的价格为68万元,租期为5年,每年年初支付租金,折现率为10%,附加率为4%,每年租金为()万元。
A.23.86
B.23.68
C.23.12
D.23.84
6.采用设备经营租赁方案,年销售收入1 000万元,年经营成本600万元,年租赁费用70万元,与销售相关的税金30万元(每年),所得税率33%,则设备租赁的年净现金流量为()万元。A.400
B.300
C.200
D.100
7.设备租赁与购置的经济比选,设备寿命不同时可以采用()。
A.净年值法
B.净现值法
C.费用现值法
D.内部收益率法多项选择题
8.与购买相比设备租赁的不足之处有()。
A.不能用于担保、抵押贷款
8.租金总额费用高
C.长期负债
D.无所有权只有使用权
E.技术服务不好
9.影响设备租赁的因素有()。
A.租金额及租金支付方式
B.定金、保证金、担保费用
C.租赁期长短及资产处理方式
D.维修费方式
E.设备技术性能和生产效率
10.影响设备投资的因素有()。
A.项目寿命期,是否长期占有设备
B.对工程(产品)质量的保证程度
C.资产处理方式
D.设备经济寿命及技术过时风险
E.生产安全性、设备性能
11许计人成本的有()。
A.租金
B.利息
C.折旧
D.摊销
E.支出
12.设备租赁与购置方案的经济比选必须考虑的因素有()。
A.设备购置费
B.利息、折旧
C.租赁费用
D.所得税率
E.经营成本
【答案】
单项选择题
1A2.C 3.A 4.B 5.C6.C 7.A
多项选择题
8.ABCD9.ABCD10.ABDE11.ABC12.ABCD
【解析】
2.设备租赁一般有融资租赁和经营租赁两种方式。在融资租赁中,不得任意中止和取消租约,贵重的设备宜采用这种方法;在经营租赁中,任何一方可以随时以一定方式在通知对方后的规定期限内取消或中止租约。临时使用的设备常采用经营租凭方式。
11.租赁设备的租金允许计入成本,购买设备每期计提的折旧费允许计入成本,每期支付的利息也可以计入成本。计入成本越多,则利润总额越少,企业交纳的所得税也越少。因此在充分考虑税收优惠的影响下,应选择税后收益更大或税后成本更小的方案。
12.在工程经济互斥方案分析中,为了简化计算,根据互斥方案比选的增量原则,只需比较它们之间的差异部分。
租赁设备:所得税率×租赁费用-租赁费用;
购置设备:所得税率×(折旧+贷款利息)-设备购置费-贷款利息。
[1] [2]
一二建考试报名三色笔记历年真题资料免费领取可加入环球网校抖音号粉丝群领取(扫描抖音二维码环球网校抖音号加入可免费领取我们会及时在群里通知):

扫一扫上面的二维码,添加环球网校抖音号,资料免费领取
温馨提示:有任何报考及考试相关疑问,可添加网校专业老师个人微信号“hqwxxu”咨询。!考生可下载手机APP,随时掌握考试资讯!

扫一扫上面的二维码,添加老师个人微信号,所有课程七折开通
相关推荐:相关文章
如果本站所转载内容不慎侵犯了您的权益,请与我们联系
,我们将会及时处理。如转载本站内容,请注明来源:一级建造师考试网(www.jzsedu.org)。
环球网校一级建造师历年通过率比较
![]() 张君老师 |
张君老师:建造师管理授课老师,硕士。课堂气氛活跃,善于调动学员积极性,被学员称为神君老师。..[详细] |
![]() 陈明教授 |
陈明:市政授课老师。有“市政之神”和“建造师市政第一人”的美誉。工程实践培训经验丰富,授课思路清晰..[详细] |





