命题考点十六 设备租赁与购买方案的比选
【教材解读】
一、设备租赁的优点与缺点
(1)对于承租人来说,设备租赁与设备购买相比的优越性在于:
1)在资金短缺的情况下,既可用较少资金获得生产急需的设备,也可以引进先进设备,加速技术进步的步伐;
2)可获得良好的技术服务;
3)可以保持资金的流动状态,防止呆滞,也不会使企业资产负债状况恶化;
4)可避免通货膨胀和利率波动的冲击,减少投资风险;
5)设备租金可在所得税前扣除,能享受税费上的利益。
(2)设备租赁的不足之处在于:
在租赁期间承租人对租用设备无所有权,只有使用权,故承租人无权随意对设备进行改造,不能处置设备,也不能用于担保、抵押贷款;
承租人在租赁期间所交的租金总额一般比直接购置设备的费用要高;
长年支付租金,形成长期负债;
融资租赁合同规定严格,毁约要赔偿损失,罚款较多等。
二、设备租赁与购置方案分析的步骤
(1)根据企业生产经营目标和技术状况,提出设备更新的投资建议。
(2)拟定若干设备投资、更新方案,包括:购置(有一次性付款和分期付款购买)方案和租赁方案。
(3)定性分析筛选方案,包括:分析企业财务能力,分析设备技术风险、使用维修特点。
1)分析企业财务能力,如果企业不能一次筹集并支付全部设备价款,则去掉一次付款购置方案。
2)分析设备技术风险、使用维修特点,对技术过时风险大、保养维护复杂、使用时间短的设备,可以考虑经营租赁方案;对技术过时风险小、使用时间长的大型专用设备则融资租赁方案或购置方案均是可以考虑的方式。
(4)定量分析并优选方案,结合其他因素,做出租赁还是购买的投资决策。
三、设备经营租赁与购置方案的经济比选方法
(1)设备经营租赁方案的净现金流量。
净现金流量=营业收入-租赁费用-经营成本-租赁费用-与营业相关的税金-所得税
或:
净现金流量=营业收入-经营成本-租赁费用-与营业相关的税金-所得税率×(营业收入-经营成本-租赁费用-与营业相关的税金)
式中,租赁费用主要包括:租赁保证金、租金、担保费。
(2)购买设备方案的净现金流量。
净现金流量=营业收入-经营成本-设备购置费-贷款利息-与营业相关的税金-所得税率×(营业收入-经营成本-折旧-贷款利息-与营业相关的税金)
或:净现金流量=营业收入-设置费-经营成本-贷款利息-与营业相关的税金-所得税
(3)设备租赁与购置方案的经济比选。
设备租赁:所得税率×租赁费一租赁费
设备购置:所得税率×(折旧+贷款利息)-设备购置费-贷款利息
四、租金的主要计算方法
(1)附加率法。
每期租金R表达式为
式中
P一一租赁资产的价格;
N——租赁期数,可按月、季、半年、年计;
i——与租赁期数相对应的利率;
r——附加率。
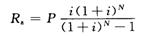
(2)年金法。
1)期末支付方式是在每期期末等额支付租金。每期期末支付租金Ra的表达式为
式中
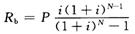
2)期初支付方式是在每期期初等额支付租金,期初支付要比期末支付提前一期支付租金。每期期初支付租金Rb的表达式为
式中Rb——每期期初支付的租金额。
【命题考点】
设备租赁与设备购买相比的优越性;设备租赁的不足之处;定性分析筛选方案;设备经营租赁与购置方案的经济比选方法;附加率法;年金法。
[1] [2] 
一二建考试报名三色笔记历年真题资料免费领取可加入环球网校抖音号粉丝群领取(扫描抖音二维码环球网校抖音号加入可免费领取我们会及时在群里通知):

扫一扫上面的二维码,添加环球网校抖音号,资料免费领取
温馨提示:有任何报考及考试相关疑问,可添加网校专业老师个人微信号“hqwxxu”咨询。!考生可下载手机APP,随时掌握考试资讯!

扫一扫上面的二维码,添加老师个人微信号,所有课程七折开通
相关推荐:相关文章
如果本站所转载内容不慎侵犯了您的权益,请与我们联系
,我们将会及时处理。如转载本站内容,请注明来源:一级建造师考试网(www.jzsedu.org)。
环球网校一级建造师历年通过率比较
![]() 张君老师 |
张君老师:建造师管理授课老师,硕士。课堂气氛活跃,善于调动学员积极性,被学员称为神君老师。..[详细] |
![]() 陈明教授 |
陈明:市政授课老师。有“市政之神”和“建造师市政第一人”的美誉。工程实践培训经验丰富,授课思路清晰..[详细] |





