1Z101062设备租赁与购买方案的分析方法
采用购买设备或是采用租赁设备应取决于这两种方案在经济上的比较,比较的原则和方法与一般的互斥投资方案比选的方法相同。
(1)设备租赁与购买方案分析的步骤
·根据企业生产经营目标和技术状况,提出设备更新的投资建议;
·拟定若干设备投资、更新方案,包括购买(有一次性付款和分期付款购买)、租赁方案;
·定性分析筛选方案,包括:分析企业财务能力,分析设备技术风险、使用、维修等特点;
·定量分析并优选方案,结合其他因素,做出租赁还是购买的投资决策。
(2)设备经营租赁与购买方案的经济比选方法
l)设备经营租赁方案的净现金流量
采用设备经营租赁的方案,租赁费可以直接进入成本,其净现金流量为:
净现金流量=销售收入-经营成本-租赁费用-与销售相关的税金
-所得税率×(销售收入-经营成本-租赁费用-与销售相关的税金) (1Z101062-1)
上式中租赁费用主要包括:租赁保证金(5%);租金;担保费。
对于租金的计算主要有附加率法和年金法。
①附加率法。附加率法是在租赁资产的设备货价或概算成本上再加上一个特定的比率来计算租金。每期租金R表达式为;
(1Z101062-2)
式中 P--租赁资产的价格;
N--还款期数,可按月、季、半年、年计;
i--与还款期数相对应的折现率;
r--附加率。
【例1Z101062-1】租赁公司拟出租给某企业一台设备,设备的价格为68万元,租期为5年,每年年末支付租金,折现率为10%,附加率为4%,问每年租金为多少?
解:
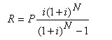
②年金法。年金法是将一项租赁资产价值按相同比率分摊到未来各租赁期间内的租金计算方法。年金法计算有期末支付和期初支付租金之分。
·期末支付方式是在每期期末等额支付租金。每期租金R的表达式为:
(1Z101062-3)
式中 P--租赁资产的价格;
N--还款期数,可按月、季、半年、年计;一级建造师考试
i--与还款期数相对应的折现率。
·期初支付方式是在每期期初等额支付租金,期初支付要比期末支付提前一期支付租金。每期租金R的表达式为:

一二建考试报名三色笔记历年真题资料免费领取可加入环球网校抖音号粉丝群领取(扫描抖音二维码环球网校抖音号加入可免费领取我们会及时在群里通知):

扫一扫上面的二维码,添加环球网校抖音号,资料免费领取
温馨提示:有任何报考及考试相关疑问,可添加网校专业老师个人微信号“hqwxxu”咨询。!考生可下载手机APP,随时掌握考试资讯!

扫一扫上面的二维码,添加老师个人微信号,所有课程七折开通
相关推荐:相关文章
如果本站所转载内容不慎侵犯了您的权益,请与我们联系
,我们将会及时处理。如转载本站内容,请注明来源:一级建造师考试网(www.jzsedu.org)。
环球网校一级建造师历年通过率比较
![]() 张君老师 |
张君老师:建造师管理授课老师,硕士。课堂气氛活跃,善于调动学员积极性,被学员称为神君老师。..[详细] |
![]() 陈明教授 |
陈明:市政授课老师。有“市政之神”和“建造师市政第一人”的美誉。工程实践培训经验丰富,授课思路清晰..[详细] |





