【例1Z101033】数据与例1Z101033-2相同,某项目财务现金流量见表1Z101033-2,已知基准投资收益率ic=8%。试计算该项目的动态投资回收期。
某项目财务现全流量表 单位:万元 表1Z101033-2
|
计 算 期 |
0 |
1 |
2 |
3 |
4 |
5 |
6 |
7 |
8 |
|
1、净现金流量 |
—— |
-600 |
-900 |
300 |
500 |
500 |
500 |
500 |
500 |
|
2、净现金流量现值 |
—— |
-555.54 |
-771.57 |
238.14 |
367.50 |
340.3 |
315.15 |
291.75 |
270.15 |
|
3、累计净现金流量 |
—— |
-555.54 |
-1327.11 |
-1088.97 |
-721.47 |
-381.17 |
-66.07 |
225.68 |
495.83 |
解:根据式(1Z101033-5),可以得到:

若Pt’<Pc(基准投资回收期)时,说明项目或方案能在要求的时间内收回投资,是可行的;若Pt’>Pc时,则项目或方案不可行,应予拒绝。
按静态分析计算的投资回收期较短,决策者可能认为经济效果尚可以接受。但若考虑时间因素,用折现法计算出的动态投资回收期,要比用传统方法计算出的静态投资回收期长些,该方案未必能被接受。
在实际应用中,动态回收期由于与其他动态盈利性指标相近,若给出的利率ic恰好等于财务内部收益率FIRR时,此时的动态投资回收期就等于项目(或方案)寿命周期。即Pt’=n。一般情况下,Pt’<n,则必有ic<FIRR。故动态投资回收期法与FIRR法在方案评价方面是等价的。
投资回收期指标容易理解,计算也比较简便;项目投资回收期在一定程度上显示了资本的周转速度。显然,资本周转速度愈快,回收期愈短,风险愈小,盈利愈多。对于那些技术上更新迅速的项目,或资金相当短缺的项目,或未来的情况很难预测而投资者又特别关心资金补偿的项目,采用投资回收期评价特别有实用意义。但不足的是投资回收期没有全面地考虑投资方案整个计算期内现金流量,即:只考虑回收之前的效果,不能反映投资回收之后的情况,故无法准确衡量方案在整个计算期内的经济效果。所以,投资回收期作为方案选择和项目排队的评价准则是不可靠的,它只能作为辅助评价指标,或与其他评价指标结合应用。
1Z101034偿债能力指标的概念、计算与判别准则
建设工程方案偿债能力是指项目实施企业偿还到期债务的能力,不仅企业自身要关心偿债能力的大小,债权人更为关心。偿债能力指标主要有:借款偿还期、利息备付率、偿债备付率。
(1)借款偿还期
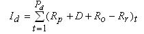
借款偿还期,是指根据国家财税规定及投资项目的具体财务条件,以可作为偿还贷款的项目收益(利润、折旧、摊销费及其他收益)来偿还项目投资借款本金和利息所需要的时间。它是反映项目借款偿债能力的重要指标,借款偿还期的计算式如下:

(1Z101034-1)
式中 Pd--借款偿还期(从借款开始年计算;当从投产年算起时,应予注明);
Id--投资借款本金和利息(不包括已用自有资金支付的部分)之和;
Rd--第t年可用于还款的利润;
D--第t年可用于还款的折旧和摊销费;
R。--第t年可用于还款的其他收益;
一二建考试报名三色笔记历年真题资料免费领取可加入环球网校抖音号粉丝群领取(扫描抖音二维码环球网校抖音号加入可免费领取我们会及时在群里通知):

扫一扫上面的二维码,添加环球网校抖音号,资料免费领取
温馨提示:有任何报考及考试相关疑问,可添加网校专业老师个人微信号“hqwxxu”咨询。!考生可下载手机APP,随时掌握考试资讯!

扫一扫上面的二维码,添加老师个人微信号,所有课程七折开通
相关推荐:相关文章
如果本站所转载内容不慎侵犯了您的权益,请与我们联系
,我们将会及时处理。如转载本站内容,请注明来源:一级建造师考试网(www.jzsedu.org)。
环球网校一级建造师历年通过率比较
![]() 张君老师 |
张君老师:建造师管理授课老师,硕士。课堂气氛活跃,善于调动学员积极性,被学员称为神君老师。..[详细] |
![]() 陈明教授 |
陈明:市政授课老师。有“市政之神”和“建造师市政第一人”的美誉。工程实践培训经验丰富,授课思路清晰..[详细] |






