1Z101033投资回收期指标的概念、计算与判别准则
投资回收期也称返本期,是反映投资回收能力的重要指标,分为静态投资回收期和动态投资回收期。
(1)静态投资回收期
静态投资回收期是在不考虑资金时间价值的条件下,以方案的净收益回收其总投资(包括建设投资和流动资金)所需要的时间。投资回收期可以自项目建设开始年算起,也可以自项目投产年开始算起,但应予注明。自建设开始年算起,投资回收期Pt(以年表示)的计算公式如下:

(1Z101033-1)
式中 Pt--静态投资回收期;
(CI一CO)t--第t年净现金流量。
静态投资回收期可借助现金流量表,根据净现金流量来计算。其具体计算又分以下两种情况:
·当项目建成投产后各年的净收益(即净现金流量)均相同时,静态投资回收期的计算公式如下:
(1Z101033-2)
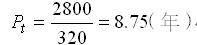
式中 I--总投资;
A--每年的净收益。
【例1Z101033-1】某建设项目估计总投资2800万元,项目建成后各年净收益为320万元,则该项目的静态投资回收期为:

·当项目建成投产后各年的净收益不相同时,静态投资回收期可根据累计净现金流量求得(如图1Z101033所示),也就是在现金流量表中累计净现金流量由负值转向正值之间的年份。其计算公式为:
![]()
(1Z101033-3)
图1Z101033投资回收期示意图
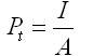
【例1Z101033-2】某项目财务现金流量表的数据如表1Z101033-1所示,计算该项目的静态投资回收期。
解:根据式(1Z101033-3),可得:

|
计算期 |
0 |
1 |
2 |
3 |
4 |
5 |
6 |
7 |
8 |
|
1、现金流入 |
—— |
—— |
—— |
800 |
1200 |
1200 |
1200 |
1200 |
1200 |
|
2、现金流出 |
—— |
600 |
900 |
500 |
700 |
700 |
700 |
700 |
700 |
|
3、净现金流量 |
—— |
-600 |
-900 |
300 |
500 |
500 |
500 |
500 |
500 |
|
4、累计净现金流量 |
—— |
-600 |
-1500 |
-1200 |
-700 |
-200 |
300 |
800 |
1300 |
将计算出的静态投资回收期Pt与所确定的基准投资回收期Pc进行比较。若Pt≤Pc,表明项目投资能在规定的时间内收回,则方案可以考虑接受;若Pt>Pc,则方案是不可行的。
(2)动态投资回收期
动态投资回收期是把投资项目各年的净现金流量按基准收益率折成现值之后,再来推算投资回收期,这是它与静态投资回收期的根本区别。动态投资回收期就是累计现值等于零时的年份。其计算表达式为:
(1Z101033-4)
式中 Pt’--动态投资回收期;
ic--基准收益率。
在实际应用中根据项目的现金流量表中的净现金流量现值,用下列近似公式计算:
![]()
(1Z101033-5)
一二建考试报名三色笔记历年真题资料免费领取可加入环球网校抖音号粉丝群领取(扫描抖音二维码环球网校抖音号加入可免费领取我们会及时在群里通知):

扫一扫上面的二维码,添加环球网校抖音号,资料免费领取
温馨提示:有任何报考及考试相关疑问,可添加网校专业老师个人微信号“hqwxxu”咨询。!考生可下载手机APP,随时掌握考试资讯!

扫一扫上面的二维码,添加老师个人微信号,所有课程七折开通
相关推荐:相关文章
如果本站所转载内容不慎侵犯了您的权益,请与我们联系
,我们将会及时处理。如转载本站内容,请注明来源:一级建造师考试网(www.jzsedu.org)。
环球网校一级建造师历年通过率比较
![]() 张君老师 |
张君老师:建造师管理授课老师,硕士。课堂气氛活跃,善于调动学员积极性,被学员称为神君老师。..[详细] |
![]() 陈明教授 |
陈明:市政授课老师。有“市政之神”和“建造师市政第一人”的美誉。工程实践培训经验丰富,授课思路清晰..[详细] |





