1Z101013现金流量图的绘制
现金流量图是一种反映经济系统资金运动状态的图式,即把经济系统的现金流量绘入一时间坐标图中,表示出各现金流入、流出与相应时间的对应关系,如图1Z101013所示。运用现金流量图,就可全面、形象、直观地表达经济系统的资金运动状态。
现以图1Z101013说明现金流量图的作图方法和规则。
图1Z101013现金流量图
·以横轴为时间轴,向右延伸表示时间的延续,轴上每一刻度表示一个时间单位,可取年、半年、季或月等;零表示时间序列的起点。
·相对于时间坐标的垂直箭线代表不同时点的现金流量情况,现金流量的性质(流入或流出)是对特定的人而言的。对投资人而言,在横轴上方的箭线表示现金流入,即表示收益;在横轴下方的箭线表示现金流出,即表示费用。
·在各箭线上方(或下方)注明现金流量的数值。
总之,要正确绘制现金流量图,必须把握好现金流量的三要素,即:现金流量的大小(资金数额)、方向(资金流入或流出)和作用点(资金发生的时间点)。
1Z101020掌握名义利率和有效利率的计算
1Z101021名义利率的计算
在复利计算中,利率周期通常以年为单位,它可以与计息周期相同,也可以不同。当计息周期小于一年时,就出现了名义利率和有效利率的概念。
名义利率r是指计息周期利率:乘以一年内的计息周期数m所得的年利率。即:
(1Z101021)
若计息周期月利率为1%,则年名义利率为12%。很显然,计算名义利率时忽略了前面各期利息再生的因素,这与单利的计算相同。
1Z101022有效利率的计算
有效利率是指资金在计息中所发生的实际利率,包括计息周期有效利率和年有效利率两种情况。
(1)计息周期有效利率,即计息周期利率i,由式(1Z101021)可知:
(1Z101022-1)
(2)年有效利率,即年实际利率。
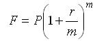
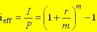
已知某年初有资金P,名义利率为r,一年内计息m次,则计息周期利率为
。根据一次支付终值公式(参见公式1Z101083-1)可得该年的本利和F,即:

根据利息的定义可得该年的利息I为:

再根据利率的定义可得该年的实际利率,即有效利率ieFF为:
(1Z101022-2)
由此可见,有效利率和名义利率的关系实质上与复利和单利的关系一样。
【例1Z101022】现设年名义利率r=10%,则年、半年、季、月、日的年有效利率如表1Z101022所示。
表1Z101022
|
年名义利率(r) |
计息期 |
年计息次数(m) |
计息期利率(i=r/m) |
年有效利率ieFF |
|
10% |
年 |
1 |
10% |
10% |
|
半年 |
2 |
5% |
10.25% | |
|
季 |
4 |
2.5% |
10.38% | |
|
月 |
12 |
0.833% |
10.46% | |
|
日 |
365 |
0.0274% |
10.51% |
从式(1Z101022-2)和表1Z101022可以看出,每年计息周期m越多,ieFF与r相差越大;另一方面,名义利率为10%,按季度计息时,按季度利率2.5%计息与按年利率10.38%计息,二者是等价的。所以,在工程经济分析中,如果各方案的计息期不同,就不能简单地使用名义利率来评价,而必须换算成有效利率进行评价,否则会得出不正确的结论。
一二建考试报名三色笔记历年真题资料免费领取可加入环球网校抖音号粉丝群领取(扫描抖音二维码环球网校抖音号加入可免费领取我们会及时在群里通知):

扫一扫上面的二维码,添加环球网校抖音号,资料免费领取
温馨提示:有任何报考及考试相关疑问,可添加网校专业老师个人微信号“hqwxxu”咨询。!考生可下载手机APP,随时掌握考试资讯!

扫一扫上面的二维码,添加老师个人微信号,所有课程七折开通
相关推荐:相关文章
如果本站所转载内容不慎侵犯了您的权益,请与我们联系
,我们将会及时处理。如转载本站内容,请注明来源:一级建造师考试网(www.jzsedu.org)。
环球网校一级建造师历年通过率比较
![]() 张君老师 |
张君老师:建造师管理授课老师,硕士。课堂气氛活跃,善于调动学员积极性,被学员称为神君老师。..[详细] |
![]() 陈明教授 |
陈明:市政授课老师。有“市政之神”和“建造师市政第一人”的美誉。工程实践培训经验丰富,授课思路清晰..[详细] |





