【例1Z101083-6】若10年内,每年末存1000元,年利率8%,问10年末本利和为多少?
解:由式(1Z101083-6)得:

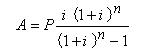
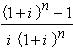
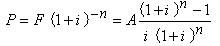
②现值计算(即已知A求P)
由式(1Z101083-3)和式(1Z101083-6)得:
(1Z101083-8)
式中
称为等额支付系列现值系数或年金现值系数,用符号表示。
则式(1Z101083-8)又可写成:
(1Z101083-9)
【例1Z101083-4】欲期望五年内每年末收回1000元,在年利率为10%时,问开始需一次投资多少?
解:由式(1Z101083-8)得
![]()
③资金回收计算(已知P求A)
由式(1Z101083-8)的逆运算即可得出资金回收计算式为:
(1Z101083-10)
式中
称为等额支付系列资金回收系数,用符号
表示。则式(1Z101083-10)又可写成:
(1Z101083-11)
【例1Z101083-5】若投资10000元,每年收回率为8%,在+年内收回全部本利,则每年应收回多少?
解:由式(1Z101083-10)得

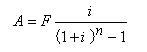
④偿债基金计算(已知F求A)
由式(1Z101083-6)的逆运算即可得出偿债基金计算式为:
(1Z101083-12)
式中称为等额支付系列偿债基金系数,用符号表示)则式(1Z101083-12)又可写成:
(1Z101083-13)一级建造师
【例1Z101083-6】欲在五年终了时获得10000元,若每年存款金额相等,年利率为10%,则每年末需存款多少?
解:由式(1Z101083-12)得

一二建考试报名三色笔记历年真题资料免费领取可加入环球网校抖音号粉丝群领取(扫描抖音二维码环球网校抖音号加入可免费领取我们会及时在群里通知):

扫一扫上面的二维码,添加环球网校抖音号,资料免费领取
温馨提示:有任何报考及考试相关疑问,可添加网校专业老师个人微信号“hqwxxu”咨询。!考生可下载手机APP,随时掌握考试资讯!

扫一扫上面的二维码,添加老师个人微信号,所有课程七折开通
相关推荐:相关文章
如果本站所转载内容不慎侵犯了您的权益,请与我们联系
,我们将会及时处理。如转载本站内容,请注明来源:一级建造师考试网(www.jzsedu.org)。
环球网校一级建造师历年通过率比较
![]() 张君老师 |
张君老师:建造师管理授课老师,硕士。课堂气氛活跃,善于调动学员积极性,被学员称为神君老师。..[详细] |
![]() 陈明教授 |
陈明:市政授课老师。有“市政之神”和“建造师市政第一人”的美誉。工程实践培训经验丰富,授课思路清晰..[详细] |





