1Z103034预备费的组成
预备费包括基本预备费和涨价预备费。
(1)基本预备费
基本预备费是指在项目实施中可能发生难以预料的支出,需要预先预留的费用,又称不可预见费。主要指设计变更及施工过程中可能增加工程量的费用。计算公式为:
基本预备费=(设备及工器具购置费+建筑安装工程费+工程建设其他费)×基本预备费率(1Z103034-1)
(2)涨价预备费一级建造师报名时间2012
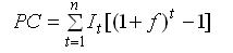
指工程项目在建设期内由于物价上涨、汇率变化等因素影响而需要增加的费用,计算公式为:
(1Z103034-2)
式中 PC--涨价预备费;
It--第t年的建筑安装工程费、设备及工器具购置费之和;
n--建设期;
F--建设期价格上涨指数。
1Z103035建设期利息的计算
建设期利息是指工程项目在建设期间内发生并计入固定资产的利息。建设期利息应按借款要求和条件计算。国内银行借款按现行贷款计算,国外贷款利息按协议书或贷款意向书确定的利率按复利计算。为了简化计算,在编制投资估算时通常假定借款均在每年的年中支用,借款第一年按半年计息,其余各年份按全年计息。计算公式为:
各年应计利息=(年初借款本息累计+本年借款额/2)×年利率 (1Z103035)
(注:实例1:某项目建设期两年,第一年贷100万元,第二年贷200万元,贷款分年度均衡发放,年利率10%,则建设期贷款利息为:
I1=1/2×100×10%=5(万元)
I2=(100+5+1/2×200)×10%=20.5(万元)
合计为5+20.5=25.5(万元)
实例2:某项目建设期三年,总投资1300万元,分年度均衡发放,第一年投资300万元,第二年投资600万元,建设期内年利率12%,则建设期应付利息为:
I1:=1/2×300×12%=18(万元))
I2=(300+18+1/2×600)×12%=74.16(万元)
I3=(300+18+600+74.16+1/2×400)×12%=143.06(万元)
合计为18+74.16+143.06=235.22(万元)
一二建考试报名三色笔记历年真题资料免费领取可加入环球网校抖音号粉丝群领取(扫描抖音二维码环球网校抖音号加入可免费领取我们会及时在群里通知):

扫一扫上面的二维码,添加环球网校抖音号,资料免费领取
温馨提示:有任何报考及考试相关疑问,可添加网校专业老师个人微信号“hqwxxu”咨询。!考生可下载手机APP,随时掌握考试资讯!

扫一扫上面的二维码,添加老师个人微信号,所有课程七折开通
相关推荐:相关文章
如果本站所转载内容不慎侵犯了您的权益,请与我们联系
,我们将会及时处理。如转载本站内容,请注明来源:一级建造师考试网(www.jzsedu.org)。
环球网校一级建造师历年通过率比较
![]() 张君老师 |
张君老师:建造师管理授课老师,硕士。课堂气氛活跃,善于调动学员积极性,被学员称为神君老师。..[详细] |
![]() 陈明教授 |
陈明:市政授课老师。有“市政之神”和“建造师市政第一人”的美誉。工程实践培训经验丰富,授课思路清晰..[详细] |





