2011年一级注册建造师建设工程经济强化班讲义(7)
2011年一级注册建造师建设工程经济强化班讲义(7)
现值的概念
◇现值(Present Value):发生在(或折算为)某一现金流量序列起点的现金流量价值,简称P 。折现( Discounted Cash):把未来某时点的现金流量折算为起始时点值的过程。
◇终值(Future Value):发生在(或折算为)某一现金流量序列终点的现金流量价值,简称F。等值计算
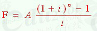
一次支付系列
1.一次支付终值公式现在投资P元,收益率为i ,问n期期末投资本利和F为多少?第一期期末本利和F1=P+P·i=P(1+i)第二期期末本利和F2=F1+F1·i=F1(1+i)=P(1+i)2第三期期末本利和F3=F2+F2·i=F2(1+i)=P(1+i)3依上类推,第n期期末本利和Fn=P(1+i)n即 F= P(1+i)n又可写成 F = P(F/P, i, n)
2.一次支付现值公式n期期末终值为F,收益率为i,问现在投资P为多少可满足要求?
![]() 又可写成 P= F(P/F,i,n)
|
一二建考试报名三色笔记历年真题资料免费领取可加入环球网校抖音号粉丝群领取(扫描抖音二维码环球网校抖音号加入可免费领取我们会及时在群里通知):

扫一扫上面的二维码,添加环球网校抖音号,资料免费领取
温馨提示:有任何报考及考试相关疑问,可添加网校专业老师个人微信号“hqwxxu”咨询。!考生可下载手机APP,随时掌握考试资讯!

扫一扫上面的二维码,添加老师个人微信号,所有课程七折开通
相关推荐:相关文章
版权声明 --------------------------------------------------------------------------------------
如果本站所转载内容不慎侵犯了您的权益,请与我们联系
,我们将会及时处理。如转载本站内容,请注明来源:一级建造师考试网(www.jzsedu.org)。
如果本站所转载内容不慎侵犯了您的权益,请与我们联系
,我们将会及时处理。如转载本站内容,请注明来源:一级建造师考试网(www.jzsedu.org)。学员登陆
网校历年通过率

环球网校一级建造师历年通过率比较
![]() 张君老师 |
张君老师:建造师管理授课老师,硕士。课堂气氛活跃,善于调动学员积极性,被学员称为神君老师。..[详细] |
![]() 陈明教授 |
陈明:市政授课老师。有“市政之神”和“建造师市政第一人”的美誉。工程实践培训经验丰富,授课思路清晰..[详细] |







