2019年一级建造师《项目管理》一日一练(12月19日)
2019年一级建造师《项目管理》一日一练(12月19日)
【题文】
【2017真题】
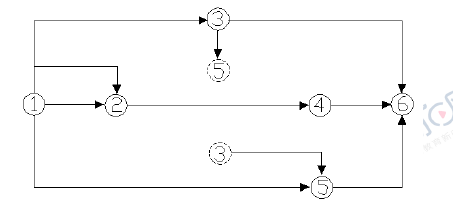
根据《工程网络计划技术规程》JQJ/T121 -2015,网络图存在的绘图错误有( )。

A.编号相同的工作
B.多个起点节点
C.相同的节点编号
D.无箭尾节点的箭线
点击查看答案
【参考答案】A
网络图中不允许出现重复工作。而1-2工作有两个箭线来表示,即工作重复,因此答案为A。
考试交流区成绩查询交流群(点击加入QQ群可快速加群交流成绩查询相关信息我们会及时在群里通知):
温馨提示:有任何报考及考试相关疑问,可添加网校专业老师个人微信号“edu24olxu”咨询。!考生可下载手机APP,随时掌握考试资讯!

扫一扫上面的二维码,添加老师个人微信号,所有课程七折开通
相关推荐:相关文章
版权声明 --------------------------------------------------------------------------------------
如果本站所转载内容不慎侵犯了您的权益,请与我们联系
,我们将会及时处理。如转载本站内容,请注明来源:一级建造师考试网(www.jzsedu.org)。
如果本站所转载内容不慎侵犯了您的权益,请与我们联系
,我们将会及时处理。如转载本站内容,请注明来源:一级建造师考试网(www.jzsedu.org)。





