A.承诺
B.承诺生效
C.要约
D.要约邀请
52、施工总承包管理模式在投资控制方面的特点是( )。
A.一般以施工图设计为投标报价的基础,投标人的投标报价较有依据
B.在开工前就有较明确的合同价,有利于业主的总投资控制
C.若在施工过程中发生设计变更,可能会引发索赔
D.分包合同的投标报价和合同价以施工图为依据
53、评标的核心是( ),是对标书进行实质性审查。
A.初步评审
B.综合评审
C.详细评审
D.响应性评审
54、工作流程图常用矩形框表示( )。
A.工作
B.工作关系
C.工作部门
D.工作执行者
55、编制安全技术措施计划的一般步骤中,在风险确定之后紧接着需要进行的工作是( )。
A.危险源识别
B.风险评价
C.评价安全技术措施计划的充分性
D.制订安全技术措施计划
56、职业健康安全和环境管理体系的相同点不包括( )。
A.管理原理基本相同
B.管理目标基本一致
C.不规定具体绩效标准
D.需要满足的对象相同
57、在应用动态控制原理控制建设工程项目目标时,落实加快工程施工进度所需的资金属于( )措施。
A.组织
B.经济
C.合同
D.技术
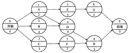
58、某工程单代号网络图如下图所示,说法正确的是( )。
A.工作D的ES为2
B.工作G的FF为2
C.工作F的FF为1
D.工作H的FF为1
59、下图所示双代号网络计划的关键线路为( )。
A.①—⑧
B.①—②—⑥—⑧
C.①—③—⑦—⑧
D.①—④—⑤—⑦—⑧
60、关于国际上施工企业项目经理的地位、作用以及其特征,下列说法不正确的是( )。
A.项目经理是一个企业法定代表人在工程项目上的代表人
B.项目经理的主要任务是项目目标的控制和组织协调
C.项目经理不是一个技术岗位,而是一个管理岗位
D.项目经理的人权、财权和物资采购权等管理权限,由其上级确定
考试交流区成绩查询交流群(点击加入QQ群可快速加群交流成绩查询相关信息我们会及时在群里通知):
温馨提示:有任何报考及考试相关疑问,可添加网校专业老师个人微信号“edu24olxu”咨询。!考生可下载手机APP,随时掌握考试资讯!

扫一扫上面的二维码,添加老师个人微信号,所有课程七折开通
相关推荐:相关文章
如果本站所转载内容不慎侵犯了您的权益,请与我们联系
,我们将会及时处理。如转载本站内容,请注明来源:一级建造师考试网(www.jzsedu.org)。





