2015年一级建造师考试建设工程项目管理考前训练卷二(8)
71、 在分部分项工程成本分析的过程中“三算”对比是指( )之间的比较。
A.预算成本
B.动态成本
C.目标成本
D.实际成本
E.偏差成本
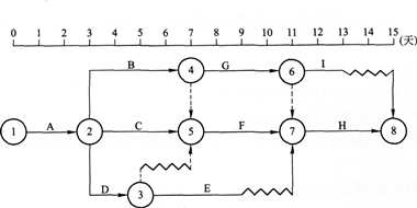
72、 工程时标网络图如下,下列选项说法正确的是( )。
A.工作A的最迟完成时间为3天
B.如果工作D拖后2天,影响工期1天
C.工作E的总时差为3天
D.工作I的总时差为2天
E.关键线路有两条
73、 关于项目费用偏差分析方法的说法,正确的有( )。
A.横道图法形象、直观
B.横道图法是最常见的一种方法
C.表格法反映的信息量大
D.表格法具有灵活、适用性强的优点
E.曲线法能够直接用于定量分析
74、 某分部工程双代号时标网络计划如下图所示,该计划所提供的正确信息有( )。
A.工作B的总时差为3天
B.工作C的总时差为2天
C.工作D为关键工作
D.工作E的总时差为3天
E.工作G的自由时差为2天
75、 在建设工程项目实施阶段策划工作中,对项目目标的分析和论证的主要工作内容包括( )。
A.项目的功能分解
B.项目总投资规划和论证
C.编制项目建设总进度规划
D.建立编码体系
E.确定建设规模和标准
76、 某项目采用赢得值法进行综合分析后得到:BCWP BCWS>ACWP,则( )。
A.费用超支
B.费用节余
C.进度延误
D.进度提前
E.投入超前
77、 下列有关安全生产管理制度的表述正确的是( )。
A.企业不得转让、冒用安全生产许可证或者使用伪造的安全生产许可证
B.《建设工程安全生产管理条例》第四十五条规定,国家对严重危及施工安全的工艺、设备、材料实行淘汰制度
C.建筑职工工伤保险不具有强制性,职工可根据自身情况决定是否缴纳
D.依据《建设工程安全生产管理条例》第26条规定,对深基坑工程的专项施工方案,施工单位应当组织专家进行论证、审查
E.建设工程项目投产后,不得将安全设施闲置不用,生产设施必须和安全设施同时使用
78、 合同分析,一般要分析的内容包括( )。
A.合同的法律基础
B.施工工期
C.违约责任
D.承包人的主要任务
E.竣工结算程序
79、 下列费用核算中,属于施工成本核算的有( )。
A.结构件费核算
B.企业管理费核算
C.措施费核算
D.临时设施费核算
E.间接费核算
80、 进度控制的主要工作环节包括( )。
A.进度目标的分析和论证
B.编制进度计划
C.进度计划整体分析
D.定期跟踪进度计划的执行情况
E.调整进度计划
考试交流区成绩查询交流群(点击加入QQ群可快速加群交流成绩查询相关信息我们会及时在群里通知):
温馨提示:有任何报考及考试相关疑问,可添加网校专业老师个人微信号“edu24olxu”咨询。!考生可下载手机APP,随时掌握考试资讯!

扫一扫上面的二维码,添加老师个人微信号,所有课程七折开通
相关推荐:相关文章
版权声明 --------------------------------------------------------------------------------------
如果本站所转载内容不慎侵犯了您的权益,请与我们联系
,我们将会及时处理。如转载本站内容,请注明来源:一级建造师考试网(www.jzsedu.org)。
如果本站所转载内容不慎侵犯了您的权益,请与我们联系
,我们将会及时处理。如转载本站内容,请注明来源:一级建造师考试网(www.jzsedu.org)。





