2015年一级建造师考试项目管理第三章真题
一、单项选择题
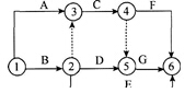
1.【2014年真题】某双代号网络图如下图所示,正确的是( )。
A.工作C.D应同时完成
B.工作B的紧后工作只有工作C、D
C.工作C、D完成后即可进行工作G
D.工作D完成后即可进行工作F

【答案】C。
【解析】工作C、D为平行工作,不一定要同时完成。故选项A错误。工作B的紧后工作有工作C、D、E。故选项B错误。工作C、D为工作G的紧前工作,当两项工作均完成后即可进行工作G。故选项C正确。工作D完成后即可进行工作G。故选项D错误。
2.【2014年真题】关于建设工程项目总进度目标论证的说法,正确的是( )。
A.建设工程项目总进度目标指的是整个工程项目的施工进度目标
B.建设工程项目总进度目标的论证应分析项目实施阶段各项工作的进度和关系
C.大型建设工程项目总进度目标论证的核心工作是编制项目进度计划
D.建设工程项目总进度纲要应包含各子系统中的单项工程进度规划
【答案】A。
【解析】建设工程项目的总进度目标指的是整个工程项目的进度目标,它是在项目决策阶段项目定义时确定的,项目管理的主要任务是在项目的实施阶段对项目的目标进行控制。
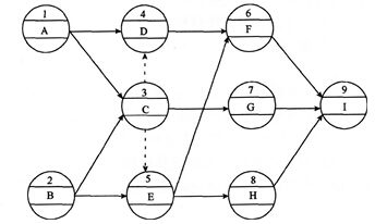
3.【2013年真题】某分部工程双代号网络计划(单位:d)如下图所示,则工作C的自由时差为( )d。
A.1
B.2
C.3
D.0
【答案】D。
【解析】有紧后工作的工作,其自由时差等于本工作之紧后工作最早开始时间减去本工作最早完成时间所得之差的最小值。工作C的自由时差=min{7—6,6—6}=0。
4.【2012年真题】某工程网络计划中,工作M的自由时差为2d,总时差为5d。实施中进度检查时发现该工作的持续时间延长了4d,则工作M的实际进度( )。
A.既不影响总工期,也不影响其后续工作的正常进行
B.将使总工期延长4d,但不影响其后续工作的正常进行
C.不影响总工期,但将其紧后工作的最早开始时间推迟2d
D.将其后续工作的开始时间推迟4d,并使总工期延长1d
【答案】C。
【解析】工作M的延长时间小于总时差,不影响总工期,但其延长时间大于自由时差,因此会使其紧后工作的最早开始时间推迟2d。
5.【2012年真题】关于进度计划调整的说法,正确的是( )。
A.网络计划中某项工作进度超前,不需要进行计划的调整
B.非关键线路上的工作不需进行调整
C.当某项工作实际进度拖延的时间超过其总时差时,只需考虑总工期的限制条件
D.根据计划检查的结果在必要时进行计划的调整
【答案】D。
【解析】网络计划的调整,可以定期进行,也可根据计划检查的结果在必要时进行。
6.【2011年真题】已知工作A的紧后工作是B和C。工作B的最迟开始时间为第14天,最早开始时间为第10天,工作C的最迟完成时间为第16天,最早完成时间为第14天。工作A的自由时差为5d,则工作A的总时差为( )d。
A.0
B.5
C.9
D.7
【答案】D。
【解析】工作A的总时差=rain{(14—10),(16—14)}d+5d=7d。
二、多项选择题
1.【2014年真题】某单代号网络图如下图所示,存在的错误有( )。
A.多个起点节点
B.有多余虚箭线
C.出现交叉箭线
D.没有终点节点
E.出现循环回路
【答案】AC。
【解析】绘制网络图时,箭线不宜交叉,当交叉不可避免时,可采用过桥法或指向法绘制。图中出现的交叉箭线未采用过桥法或指向法绘制。单代号网络图中只应有一个起点节点和一个终点节点。
[1] [2] 
考试交流区成绩查询交流群(点击加入QQ群可快速加群交流成绩查询相关信息我们会及时在群里通知):
温馨提示:有任何报考及考试相关疑问,可添加网校专业老师个人微信号“edu24olxu”咨询。!考生可下载手机APP,随时掌握考试资讯!

扫一扫上面的二维码,添加老师个人微信号,所有课程七折开通
相关推荐:相关文章
版权声明 --------------------------------------------------------------------------------------
如果本站所转载内容不慎侵犯了您的权益,请与我们联系
,我们将会及时处理。如转载本站内容,请注明来源:一级建造师考试网(www.jzsedu.org)。
如果本站所转载内容不慎侵犯了您的权益,请与我们联系
,我们将会及时处理。如转载本站内容,请注明来源:一级建造师考试网(www.jzsedu.org)。





