2011年一级建造师工程项目管理模拟试题九(9)
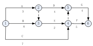
11.下列双代号网络图中非关键工作有( )。
A.工作A
B.工作C
C.工作D
D.工作E
E.工作F
12.在网络计划中,若某项工作的拖延时间超过总时差,那么( )。
A.该项工作变为关键工作
B.影响其后续工作
C.将使总工期延长
D.不影响紧后工作的总时差
E.不影响总工期
13. 施工质量计划的编制主体( )。
A.建设单位一级建造师
B.监理单位
C.设计单位
D.施工总承包方
E.各分包单位
14. 在PDCA循环中,各类检查的内容包括( )。
A.采取应息措施,解决当前质量偏差、问题和事故
B.检查是否严格执行了计划的行动方案
C.检查实际条件是否发生了变化
D.检查不执行计划的原因
E.检查产出的质量是否达到标准要求,对此进行确认和评价
15. 建设工程项目的质量管理贯彻的三全管理的思想和方法指的是( )。
A.全方位质量管理
B.全面质量管理
C.全天候质量管理
D.全过程质量管理
E.全员参与质量管理
16. 施工质量控制的主要依据是( )。
A.工程合同和设计依据
B.质量管理体系文件
C.质量手册
D.质量管理方面的法律、法规性文件
E.有关质量检验和控制的专门法规性文件
17. 建设工程项目施工质量的事中控制中,应抓好与作业工序质量形成相关的配套技术与管理工作,其主要途径包括( )。
A.施工条件的调查和分析
B.施工技术复核
C.工程测量定位和标高基准点的控制
D.见证取样送检
E.技术核定和设计变更
18. 某工程施工单位为了防范施工过程中事故发生,制定了针对性的应急措施,并按照要求每年进行演练,确保应急措施有针对性和实效性。应急措施包括 ( )。
A.应急指挥和组织机构
B.施工场外应急计划和向外报警程序及方式
C.通信联络与报警系统
D.有足够数量并符合规格的安全进、出通道
E.应急所需资源投入
19. 某施工单位1名专业人员在进行高处作业过程中,因未按照规定要求系挂安全带,不慎从10米高的外脚手架上摔落地面,当场死亡。事故发生后项目部按照要求及时的向上级进行了报告,并由企业主管部门会同企业所在地的( )组成事故调查组,进行调查。
A.安全行政管理部门
B.劳动部门
C.工会
D.监察部门
E.公安消防部门
20. 按照我国《企业伤亡事故分类标准》(GB6441-86)的规定,职业伤害事故分20类,其中与建筑有关的包括( )。
A.灼烫
B.机械伤害
C.辐射伤害
D.瓦斯爆炸
E.扭伤
考试交流区成绩查询交流群(点击加入QQ群可快速加群交流成绩查询相关信息我们会及时在群里通知):
温馨提示:有任何报考及考试相关疑问,可添加网校专业老师个人微信号“edu24olxu”咨询。!考生可下载手机APP,随时掌握考试资讯!

扫一扫上面的二维码,添加老师个人微信号,所有课程七折开通
相关推荐:相关文章
如果本站所转载内容不慎侵犯了您的权益,请与我们联系
,我们将会及时处理。如转载本站内容,请注明来源:一级建造师考试网(www.jzsedu.org)。
环球网校一级建造师历年通过率比较
![]() 张君老师 |
张君老师:建造师管理授课老师,硕士。课堂气氛活跃,善于调动学员积极性,被学员称为神君老师。..[详细] |
![]() 陈明教授 |
陈明:市政授课老师。有“市政之神”和“建造师市政第一人”的美誉。工程实践培训经验丰富,授课思路清晰..[详细] |





