2011年一级建造师工程项目管理模拟试题九(3)
21.为了实现项目的进度目标,下列所采取的控制措施中属于组织措施的是( )。
A.采取风险管理措施
B.资金供应的条件
C.采用计算机辅助进度控制
D.健全项目管理的组织体系
22. 以下是建设工程项目进度目标论证的几项工作步骤:①项目的工作编码;②进度计划系统的结构分析;③编制总进度计划;④项目结构分析。其先后顺序为( )。
A.①-②-④-③
B.④-②-①-③
C.①-②-③-④
D.④-①-③-②
23. 某三跨工业厂房的地面工程的双代号网络计划如下图所示,安排有填土、垫层和混凝土三道施工工序,在平面上分为两个施工区域。图中显示有组织关系的工作是( )。
A.填土1和填土2
B.垫层1和混凝土1
C.垫层1和填土2
D.垫层2和混凝土2

24.下列关于双代号网络图的绘图规则的说法中,正确的是( )。
A.允许出现没有箭头节点的箭线
B.允许出现循环回路
C.不能出现带双箭头或无箭头连线
D.可以有多个起点节点和多个终点节点
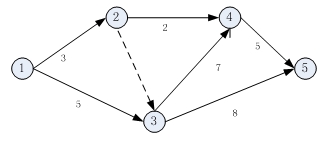
25. 某分部工程双代号网络计划如下图所示,有七项工作组成。其中工作2-4最迟开始时间为( )天。
A.5
B.10
C.12
D.15
26. 在单代号搭接网络图中,工作G的持续时间为6天,与紧前工作D之间的搭接关系为STF=14天。如果工作D最早开始时间为8天,则G工作的最早开始时间为 ( )。
A.12天
B.14天
C.16天
D.18天
27. 在单代号网络计划中,工作A最迟完成时间为50天,持续时间为8天。工作A的两项紧前工作的最早完成时间分别为25和30,那么工作A的总时差为( )。
A.12
B.17
C.20
D.25
28.为了实现工程项目进度目标,应选择合理的合同结构,以避免过多的( )。
A.合同交界面
B.参与单位
C.资源消耗
D. 经济和技术风险
29. 建设工程项目施工过程中,各施工参与方的控制职能有所不同,下列不属于监控主体的是( )。
A.建设单位
B.政府质量监督部门
C.劳务分包单位
D.监理单位
30. 下列对质量控制系统描述正确的是( )
A.建设工程项目质量系统的建立不只用于特定的建设工程项目质量管理,也适用于建筑企业的质量管理
B.建设工程项目质量控制系统的控制目标是建设工程项目的质量标准
C.建设工程项目质量控制系统是一次性的质量工作系统
D.建设工程项目质量控制系统的有效性由项目管理的总组织者进行自我评价
考试交流区成绩查询交流群(点击加入QQ群可快速加群交流成绩查询相关信息我们会及时在群里通知):
温馨提示:有任何报考及考试相关疑问,可添加网校专业老师个人微信号“edu24olxu”咨询。!考生可下载手机APP,随时掌握考试资讯!

扫一扫上面的二维码,添加老师个人微信号,所有课程七折开通
相关推荐:相关文章
如果本站所转载内容不慎侵犯了您的权益,请与我们联系
,我们将会及时处理。如转载本站内容,请注明来源:一级建造师考试网(www.jzsedu.org)。
环球网校一级建造师历年通过率比较
![]() 张君老师 |
张君老师:建造师管理授课老师,硕士。课堂气氛活跃,善于调动学员积极性,被学员称为神君老师。..[详细] |
![]() 陈明教授 |
陈明:市政授课老师。有“市政之神”和“建造师市政第一人”的美誉。工程实践培训经验丰富,授课思路清晰..[详细] |





