网校导读:一级建造师网校整理了2013年一级注册建造师机电工程实务每日练习资料,供广大考生备考2013年一级建造师考试,祝您顺利通过一级建造师考试!
2013年报名专题:2013年一级建造师报名时间专题
背景资料:
某承包商(乙方)于某年8月6日与某业主(甲方)签订了一项设备安装合同。在合同中规定,甲方于8月14日提供施工现场。工程开工日期为8月16日,双方商定与计划工期相比工期每提前l天奖励3000元,每拖后1天罚款5000元。
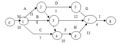
乙方按时提交了施工方案和施工网络进度计划(如图1),并在得到甲方代表的批准后,如期开工。

图l某工程施工网络进度计划(时间单位:天)
该工程开工后,在实际施工过程中发生了如下事件:
事件1:因部分原有设施搬迁拖延,甲方于8月17日才提供全部场地,影响了工作A、B的正常作业时间,使这两项工作的作业时间均延长了2天,并使这两项工作分别窝工6和8个工日;工作C未受到影响。
事件2:乙方与租赁商原约定工作D使用的某种机械应于8月27日进场,但因运输问题推迟到8月29日才进场,造成工作D实际作业时间增加1天,多用人工7个工日。
事件3:在工作E施工时,因设计变更,造成施工时间增加2天,多用人工14个工日,其他费用增加1.5万元。
事件4:在工作F施工时,因甲方供应的材料出现质量缺陷,乙方返工增加用工6个工日,其他费用1000元,并影响H工序作业时间延长1天,窝工4个工日。
2.问题:
1.根据施工网络进度计划确定计划工期、关键线路和A、B、C、D、E、F、H工作的总时差。
2.乙方能否就上述每项事件向甲方提出工期补偿和费用补偿要求?试简述其理由。
3.该工程的实际施工天数为多少天?可得到的工期补偿为多少天?工期奖罚天数为多少天?
4.假设工程所在地人工费标准为30元/工日,应由甲方给予补偿的窝工人工费补偿标准为18元/工日,施工管理费、利润等均不予补偿。
则在该工程中,乙方可得到的合理的经济补偿有哪几项?经济补偿额为多少?
- 解析:.经图1计算结果可以确定计划工期为48天。
A工序TF=0;B工序TF=3;C工序TF=4;D工序TF一6;E工序TF一10;F工序TF=0;H工序TF=0。
关键线路为:M一A—F—H—I;
总工期为48天。
2.
事件1:工期和费用索赔成立的条件
工作A可以提出工期补偿和费用补偿要求,因为施工场地提供的时间延长属于甲方应承担的责任,且工作A位于关键线路上;
工作B处于非关键线路上,未超过其总时差,应进行费用补偿,可以费用补偿要求。
事件2:设备租赁责任决定索赔成立的条件。
不能提出补偿要求,因为租赁设备迟进场属于乙方应承担的风险。
事件3:合同变更的责任确定/工期和费用索赔
可以提出费用补偿要求,但不能提出工期补偿要求。
因为设计变更的责任在甲方,由此增加的费用应由甲方承担;而由此增加的作业时间(2天)没有超过该项工作的总时差(10天)。
事件4:工期和费用索赔
由于甲方供应材料质量问题造成返工事件应当索赔,给予工期补偿和费用补偿。
3.
在考虑甲方责任的情况下,由于A工作延误2天(关键工序),B工作延误2天未超过其总时差3天,E工作延误2天,未超过其总时差10天,H工作拖延1天(关键工序),故包含甲方责任的工期为51天。
同理,在考虑甲、乙双方责任的情况下,除考虑甲方责任因素的情况以外,事件2中D工序作业时间增加1天未超过其总时差6天,所以实际工期仍为51天。
所以该工程应补偿工期为:51—48=3(天)
该工程的工期奖罚天数为:51-51=0(天)
4.在该工程中,乙方可得到的合理的经济补偿有:
(1)由事件1引起的经济补偿额:(6+8)×18=252 (元)
(2)由事件3引起的经济补偿额:14×30+15000=15420(元)
(3)由事件4引起的经济补偿额:30×6+1000+18×4=1252 (元)
乙方可得到合理的经济补偿额为:252+15420+l252=16924(元)
.经图1计算结果可以确定计划工期为48天。
A工序TF=0;B工序TF=3;C工序TF=4;D工序TF一6;E工序TF一10;F工序TF=0;H工序TF=0。
关键线路为:M一A—F—H—I;
总工期为48天。
2.
事件1:工期和费用索赔成立的条件
工作A可以提出工期补偿和费用补偿要求,因为施工场地提供的时间延长属于甲方应承担的责任,且工作A位于关键线路上;
工作B处于非关键线路上,未超过其总时差,应进行费用补偿,可以费用补偿要求。
事件2:设备租赁责任决定索赔成立的条件。
不能提出补偿要求,因为租赁设备迟进场属于乙方应承担的风险。
事件3:合同变更的责任确定/工期和费用索赔
可以提出费用补偿要求,但不能提出工期补偿要求。
因为设计变更的责任在甲方,由此增加的费用应由甲方承担;而由此增加的作业时间(2天)没有超过该项工作的总时差(10天)。
事件4:工期和费用索赔
由于甲方供应材料质量问题造成返工事件应当索赔,给予工期补偿和费用补偿。
3.
在考虑甲方责任的情况下,由于A工作延误2天(关键工序),B工作延误2天未超过其总时差3天,E工作延误2天,未超过其总时差10天,H工作拖延1天(关键工序),故包含甲方责任的工期为51天。
同理,在考虑甲、乙双方责任的情况下,除考虑甲方责任因素的情况以外,事件2中D工序作业时间增加1天未超过其总时差6天,所以实际工期仍为51天。
所以该工程应补偿工期为:51—48=3(天)
该工程的工期奖罚天数为:51-51=0(天)
4.在该工程中,乙方可得到的合理的经济补偿有:
(1)由事件1引起的经济补偿额:(6+8)×18=252 (元)
(2)由事件3引起的经济补偿额:14×30+15000=15420(元)
(3)由事件4引起的经济补偿额:30×6+1000+18×4=1252 (元)
乙方可得到合理的经济补偿额为:252+15420+l252=16924(元)
[1] [2] 
考试交流区成绩查询交流群(点击加入QQ群可快速加群交流成绩查询相关信息我们会及时在群里通知):
温馨提示:有任何报考及考试相关疑问,可添加网校专业老师个人微信号“edu24olxu”咨询。!考生可下载手机APP,随时掌握考试资讯!

扫一扫上面的二维码,添加老师个人微信号,所有课程七折开通
相关推荐:相关文章
如果本站所转载内容不慎侵犯了您的权益,请与我们联系
,我们将会及时处理。如转载本站内容,请注明来源:一级建造师考试网(www.jzsedu.org)。
环球网校一级建造师历年通过率比较
![]() 张君老师 |
张君老师:建造师管理授课老师,硕士。课堂气氛活跃,善于调动学员积极性,被学员称为神君老师。..[详细] |
![]() 陈明教授 |
陈明:市政授课老师。有“市政之神”和“建造师市政第一人”的美誉。工程实践培训经验丰富,授课思路清晰..[详细] |





