2012年一级注册建造师水利水电知识点精选(1)
二、能量转换
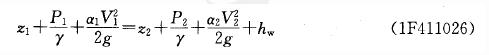
根据能量守恒原理,恒定水流的能量方程为:

上式代表1、2两个断面之间水流的能量守恒,其中h,,表示两个断面之间的能量损失,其余三项代表单位质量水体的机械能,分别为位能、压能和动能。位能、压能和动能在水体流动过程中是可以互相转化的。
明渠均匀流中,压能、动能不变,而位能逐渐减小∫是由于克服阻力,产生沿程水头损失。
水库(水闸等)泄水,水流从泄水口喷射而出,位能转化为动能。
考试交流区成绩查询交流群(点击加入QQ群可快速加群交流成绩查询相关信息我们会及时在群里通知):
温馨提示:有任何报考及考试相关疑问,可添加网校专业老师个人微信号“edu24olxu”咨询。!考生可下载手机APP,随时掌握考试资讯!

扫一扫上面的二维码,添加老师个人微信号,所有课程七折开通
相关推荐:相关文章
版权声明 --------------------------------------------------------------------------------------
如果本站所转载内容不慎侵犯了您的权益,请与我们联系
,我们将会及时处理。如转载本站内容,请注明来源:一级建造师考试网(www.jzsedu.org)。
如果本站所转载内容不慎侵犯了您的权益,请与我们联系
,我们将会及时处理。如转载本站内容,请注明来源:一级建造师考试网(www.jzsedu.org)。学员登陆
网校历年通过率

环球网校一级建造师历年通过率比较
![]() 张君老师 |
张君老师:建造师管理授课老师,硕士。课堂气氛活跃,善于调动学员积极性,被学员称为神君老师。..[详细] |
![]() 陈明教授 |
陈明:市政授课老师。有“市政之神”和“建造师市政第一人”的美誉。工程实践培训经验丰富,授课思路清晰..[详细] |





