一、单项选择题
1.B
【解析】设备租赁需要支付租金,根据现行企业会计制度,租赁设备的租金可以进入总成本费用。在收入不变的情况下,总成本费用增加意味着企业利润减少,可以少缴所得税。而增值税是按照销售税额和进项税额计算的,与总成本费用没有直接关系,所以A不正确;而政府税费减免、税费补贴,主要是针对需要扶持、支持和鼓励发展的事项而给予的政府税收优惠,与本题背景不符,所以CD也不是最佳答案,本题答案为B。
2.D
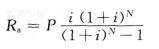
【解析】本题考核的是如何用年金法计算租赁设备的租金。年金法是将一项租赁资产价值按动态等额分摊到未来各租赁期间内的租金计算方法。年金法计算有期末支付和期初支付租金之分。期末支付租金Ra的表达式为:

式中Ra——每期期末支付的租金额;
P——租赁资产的价格;
N——租赁期数,可按月、季、半年、年计;
i——与租赁期数相对应的利率或折现率。
本题中P=200万元,N=10,i=12%,代入公式计算可得Ra=35.4万元,本题要求期初支付租金,其数额应为:35.49/(1+12%)10=31.6万元。答案为D。
3.D
【解析】价值工程是以提高产品(或作业)价值和有效利用资源为目的,通过有组织的创造性工作,寻求用最低的寿命周期成本,可靠地实现使用者所需功能,以获得最佳的综合效益的一种管理技术。价值可以用数学表达式表述为:价值=功能/成本。所以,价值工程中所述的“价值”也是一个相对的概念,是指作为某种产品(或作业)所具有的功能与获得该功能的全部费用的比值。它不是对象的使用价值,也不是对象的经济价值,而是对象的比较价值,这种比较是建立在工程和成本的比例关系上,反映了功能和成本的关系。本题答案为D。
4.A
【解析】产品生产成本是指发生在生产企业内部的成本,也是用户购买产品的费用,包括产品的科研、实验、设计、试制、生产、销售等费用及税金等;而产品使用及维护成本是指用户在使用过程中支付的各种费用的总和,它包括使用过程中的能耗费用、维修费用、人工费用、管理费用等。有时还包括报废拆除所需费用(扣除残值)。产品功能水平提高,往往是通过采用可靠性更高或者更先进的生产设备或工艺来实现的,因此其制造生产成本会提高,而其使用阶段故障率、消耗等会降低。本题答案为A。
5.B
【解析】在建设工程中,一旦设计完成并施工,建设工程的价值就基本决定了,这时再进行价值工程分析就变得更加复杂。不仅原来的许多工作成果要付诸东流,而且更改可能会造成很大的浪费。使价值工程活动的技术经济效果大大下降。因此,对于建设工程,应用价值工程的重点是在规划和设计阶段,本题答案为B。
6.A
【解析】产品中各功能之间都是相互配合、相互联系,都在为实现产品的整体功能而发挥各自的作用。因此,功能整理是用系统的观点将已经定义了的功能加以系统化,找出各局部功能相互之间的逻辑关系是并列关系还是上下位置关系,并用图表形式表达,以明确产品的功能系统,从而为功能评价和方案构思提供依据。因此本题答案为A。
7.A
【解析】在评价方案时,常常会有新技术方案的一次性投资额较大,年经营成本(或生产成本)较低;而对比“旧”方案的一次性投资额虽较低,但其年经营成本(或生产成本)较高的情况。这样,投资大的新方案与投资小的旧方案就形成了增量的投资,但投资大的新方案比投资小的旧方案在经营成本(或生产成本)上又带来了节约。此时就可通过计算增量投资收益率,以此判断对比方案相对经济效果,据此选择方案。故本题答案为A。
8.A
【解析】所谓增量投资收益率就是增量投资所带来的经营成本(或生产成本)上的节约与增量投资之比。现设I1、I2分别为旧、新方案的投资额,C1、C2为旧、新方案的经营成本(或生产成本)。如I2>I1,C2

9.C
【解析】利得和损失可分为两大类,一类是不计入当期损益,而直接计入所有者权益的利得和损失。如接受捐赠、变卖固定资产等,都可直接计入资本公积。还有一种就是应当直接计入当期损益的利得和损失。如投资收益、投资损失等。对于直接计入资本公积的利得和损失,通常与经营活动无关且数额可能较大,如果计入当期损益,会直接影响当期损益的评价。备选答案中,C投资损失是经营活动相关的内容,而ABD则直接与企业所有者权益相关。故本题答案为C。
10.D
【解析】《企业所得税法》第二十二条规定的应纳税额的计算公式为:
应纳税额=应纳税所得额×适用税率-减免税额-抵免税额
公式中的减免税额和抵免税额,是指依照《企业所得税法》和国务院的税收优惠规定减征、免征和抵免的应纳税额。故本题答案为D。
11.【解析】本题涉及的考点是技术方案现金流量表的构成要素。营业收入是指技术方案实施后各年销售产品或提供服务所获得的收入。营业收入是现金流量表中现金流入的主体,也是利润表的主要科目。
12.【解析】本题涉及的考点是摊销费的有关规定。按照有关规定,无形资产从开始使用之日起,在有效使用期限内平均摊入成本。法律和合同规定了法定有效期限或者受益年限的,销年限从其规定,否则摊销年限应注意符合税法的要求。无形资产的摊销一般采用平均年限法,不计残值。
13.【解析】本题涉及的考点是经营成本的计算。根据计算公式:经营成本=总成本费用-折旧费-摊销费-利息支出,本题中,经营成本=1000-80-50-20=850(万元)。
14.【解析】本题涉及的考点是教育费附加率的规定值。城市维护建设税税率根据技术方案所在地分市区,县、镇和县、镇以外三个不同等级;教育费附加率为3%。
15.【解析】本题涉及的考点是设备磨损的类型。第二种无形磨损的后果不仅是使原有设备价值降低,而且由于技术上更先进的新设备的发明和应用会使原有设备的使用价值局部或全部丧失,这就产生了是否用新设备代替现有陈旧落后设备的问题。
16.【解析】本题涉及的考点是设备的沉没成本。沉没成本是既有企业过去投资决策发生的、非现在决策能改变(或不受现在决策影响)、已经计入过去投资费用回收计划的费用。因此,本题中该设备的沉没成本为200元。
17.【解析】本题涉及的考点是设备的自然寿命。设备的自然寿命,又称物质寿命。它是指设备从投入使用开始,直到因物质磨损严重而不能继续使用、报废为止所经历的全部时间。
18.【解析】本题涉及的考点是租金的计算。期末支付方式是在每期期末等额支付租金,其

19.【解析】本题涉及的考点是价值工程对象的选择。从施工生产方面看,对量大面广、工序繁琐、工艺复杂、原材料和能源消耗高、质量难于保证的工程产品,进行价值工程活动可以用最低的寿命周期成本可靠地实现必要功能。
20.【解析】本题涉及的考点是价值系数的计算。价值系数的计算公式为:Vi=Fi/Ci,式中,Vi为第i个评价对象的价值系数;Fi为第i个评价对象的功能评价值(目标成本);Ci为第i个评价对象的现实成本。因此,本题中方案A的价值系数=450÷500=0.9。
考试交流区成绩查询交流群(点击加入QQ群可快速加群交流成绩查询相关信息我们会及时在群里通知):
温馨提示:有任何报考及考试相关疑问,可添加网校专业老师个人微信号“edu24olxu”咨询。!考生可下载手机APP,随时掌握考试资讯!

扫一扫上面的二维码,添加老师个人微信号,所有课程七折开通
相关推荐:相关文章
如果本站所转载内容不慎侵犯了您的权益,请与我们联系
,我们将会及时处理。如转载本站内容,请注明来源:一级建造师考试网(www.jzsedu.org)。
环球网校一级建造师历年通过率比较
![]() 张君老师 |
张君老师:建造师管理授课老师,硕士。课堂气氛活跃,善于调动学员积极性,被学员称为神君老师。..[详细] |
![]() 陈明教授 |
陈明:市政授课老师。有“市政之神”和“建造师市政第一人”的美誉。工程实践培训经验丰富,授课思路清晰..[详细] |






