一、单项选择题
1.C
2.C
5.C
【解析】计算累计净现金流量,如表3所示。
表3 累计净现金流量表
6.B
【解析】偿还贷款的资金来源主要包括可用于归还借款的利润、固定资产折旧、无形资产及其他资产摊销费和其他还款资金来源;B项企业留利是不可用于归还借款的利润。
8.B
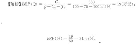
【解析】如果主要分析技术方案状态和参数变化对技术方案投资回收快慢的影响,则可选用静态投资回收期作为分析指标;如果主要分析产品价格波动对技术方案超额净收益的影响,则可选用财务净现值作为分析指标;如果主要分析投资大小对技术方案资金回收能力的影响,则可选用财务内部收益率指标。
9.C
【解析】资本金现金流量表是从技术方案权益投资者整体(即项目法人)的角度出发……反映在一定融资方案下投资者权益投资的获利能力。
10 R
[1] [2] [3] [4] [5] [6] [7] [8] [9] [10] 
考试交流区成绩查询交流群(点击加入QQ群可快速加群交流成绩查询相关信息我们会及时在群里通知):
温馨提示:有任何报考及考试相关疑问,可添加网校专业老师个人微信号“edu24olxu”咨询。!考生可下载手机APP,随时掌握考试资讯!

扫一扫上面的二维码,添加老师个人微信号,所有课程七折开通
相关推荐:相关文章
如果本站所转载内容不慎侵犯了您的权益,请与我们联系
,我们将会及时处理。如转载本站内容,请注明来源:一级建造师考试网(www.jzsedu.org)。
环球网校一级建造师历年通过率比较
![]() 张君老师 |
张君老师:建造师管理授课老师,硕士。课堂气氛活跃,善于调动学员积极性,被学员称为神君老师。..[详细] |
![]() 陈明教授 |
陈明:市政授课老师。有“市政之神”和“建造师市政第一人”的美誉。工程实践培训经验丰富,授课思路清晰..[详细] |





