一、单项选择题
1.C
2.C![]()
3.B![]()
4.B
【解析】FNPV(i)是i的递减函数,随着折现率的逐渐增大,财务净现值由大变小
5.C
【解析】计算累计净现金流量,如表3所示。
表3 累计净现金流量表 
![]()
6.B
【解析】偿还贷款的资金来源主要包括可用于归还借款的利润、固定资产折旧、无形资产及其他资产摊销费和其他还款资金来源;B项企业留利是不可用于归还借款的利润。
7.A![]()
![]()
8.B
【解析】如果主要分析技术方案状态和参数变化对技术方案投资回收快慢的影响,则可选用静态投资回收期作为分析指标;如果主要分析产品价格波动对技术方案超额净收益的影响,则可选用财务净现值作为分析指标;如果主要分析投资大小对技术方案资金回收能力的影响,则可选用财务内部收益率指标。
9.C
【解析】资本金现金流量表是从技术方案权益投资者整体(即项目法人)的角度出发……反映在一定融资方案下投资者权益投资的获利能力。
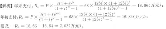
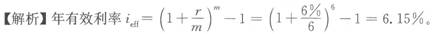
10 R
11.B
12.B
【解析】第二种有形磨损:设备在闲置过程中受自然力的作用而产生的实体磨损,如金属件生锈、腐蚀、橡胶件老化等;第一种无形磨损:由于技术进步,设备制造工艺不断改进,同类设备的再生产价值降低,因而设备的市场价格也降低了。
13.C
14.C
【解析】“满足影剧院空调要求的前提下”说明保持产品功能不变的前提下,“不仅降低了造价,而且减少了运行费和维修费”说明降低了成本,故为节约型。
15.D
【解析】A项、B项和C项是反映技术特性的指标。
16.B
【解析】无形资产是指企业为生产商品或者提供劳务、出租给他人,或为管理目的而持有的、没有实物形态的非货币性长期资产。
17.C
【解析】资本公积包括资本溢价、资产评估增值、接受捐赠和外币折算差额等。
18.D
【解析】我国会计制度规定,企业的资产负债表一般采用账户式资产负债表。
19.D
【解析】营业外支出包括固定资产盘亏、处置固定资产净损失、处置无形资产净损失、债务重组损失、罚款支出、捐赠支出和非常损失等。
20.C
【解析】公司法定公积金累计额为公司注册资本的50%以上的,可以不再提取。
21.C
【解析】企业在资产负债表日提供劳务交易的结果能够可靠地估计,应当采用完工百分比法确认提供劳务收入。
22.C
【解析】企业发展能力的指标主要有营业增长率、资本积累率。A项和B项是盈利能力指标。
23.B![]()
24.D
【解析】注意区分三种策略,根据题意可知是多借长期负债,故是稳健型。
25.C
【解析】商业信用的具体形式有应付账款、应付票据和预收账款等。而应收账款是商业信用的直接产物。
26.B
【解析】订货成本和购置成本属于取得成本。27.D
【解析】第1年末的涨价预备费:1 000×5%=50(万元);
第2年末的涨价预备费:1 000×(1+15%)×[(1+5%)2-1]=117.88(万元);
第3年末的涨价预备费:1 000×(1+15%)2×[(1+5%)3-1]:208.46(万元); 则该项目建设期的涨价预备费=50+117.88+208.46=376.34(万元)。
28.B
【解析】设到岸价为X,则关税=20%X,增值税=(X+20%X)×17%=20.4%X,则抵岸价=X+4.25+18.9+20%X+20.4%X=1.404X+23.15=1 792.19,则X=1 260(万元)。
29.D
【解析】流动资产包括现金、银行存款、应收款项、短期投资和存货等;A项、B项、C项都是长期资产,A项是无形资产,B项、C项是其他资产。
30.C
【解析】采购及保管费包括采购费、仓储费、工地保管费和仓储损耗。
31. A
【解析】按投资的费用性质,可将建设工程定额分为建筑工程定额、设备安装工程定额、建筑安装工程费用定额、工器具定额以及工程建设其他费用等额。
32.D
【解析】含税造价=(1 500+100)×(1+10%)×(1+5%)×(1+3.41%)=1 965.62(万元)。
33.C
【解析】停工时间是损失时间,A项、8项、D项都是必须消耗的时间。
34.B![]()
35.C
【解析】对于同类产品规格多、工序重复、工作量小的施工过程,常用比较类推法。
36.B
【解析】概算定额也叫扩大结构定额,它规定了完成一定计量单位的扩大结构构件或扩大分项工程的人工、材料和机械台班消耗量的数量标准。
37.C
【解析】A项、B项和D项是建筑工程概算的编制方法,A项和B项是同一种方法的两种名称。
38.B
【解析】收集原始资料→确定有关数据→各项费用计算→单位工程概算书编制→单项工程综合概算书编制→建设项目总概算的编制。
39.C
【解析】分项工程不能直接套用定额,不能换算和→调整时,应编制补充单位估价表。
40.B
【解析】定额单价法的步骤:①准备资料,熟悉施工图纸→②计算工程量→③套用定额单价,计算直接工程费→④编制工料分析表→⑤按计价程序计取其他费用,并汇总造价→⑥复核→⑦编制说明、填写封面。
一二建考试报名三色笔记历年真题资料免费领取可加入环球网校抖音号粉丝群领取(扫描抖音二维码环球网校抖音号加入可免费领取我们会及时在群里通知):

扫一扫上面的二维码,添加环球网校抖音号,资料免费领取
温馨提示:有任何报考及考试相关疑问,可添加网校专业老师个人微信号“hqwxxu”咨询。!考生可下载手机APP,随时掌握考试资讯!

扫一扫上面的二维码,添加老师个人微信号,所有课程七折开通
相关推荐:相关文章
如果本站所转载内容不慎侵犯了您的权益,请与我们联系
,我们将会及时处理。如转载本站内容,请注明来源:一级建造师考试网(www.jzsedu.org)。
环球网校一级建造师历年通过率比较
![]() 张君老师 |
张君老师:建造师管理授课老师,硕士。课堂气氛活跃,善于调动学员积极性,被学员称为神君老师。..[详细] |
![]() 陈明教授 |
陈明:市政授课老师。有“市政之神”和“建造师市政第一人”的美誉。工程实践培训经验丰富,授课思路清晰..[详细] |







