一、单项选择题
1.B
【解析】每年计息周期m越多,ieff与r相差越大。
2.D
【解析】折旧费属于固定成本。
3.A
【解析】设备租赁一般有融资租赁和经营租赁两种,在融资租赁中,租赁双方承担确定时期的租让和付费义务,而不得任意中止和取消租约;而在经营租赁中,租赁双方的任何一方可以随时以一定方式在通知对方后的规定期限内取消或中止租约。
4.C
【解析】FNPV(i)是i的递减函数,基准收益率越小,财务净现值越大。
5.C
【解析】如果两个现金流量等值,则对任何时刻的价值必然相等。
6. B
7.C
【解析】对于非经营性方案,经济效果评价应主要分析拟定技术方案的财务生存能力。
8.D
【解析】投资收益率和财务净现值都是反映盈利能力的指标,投资收益率是静态指标,财务净现值是动态指标。
9.C
【解析】投资、经营成本、营业收入和税金是构成技术方案现金流量的基本要素。
10.B
【解析】汇兑损失是财务费用,属于期间费用,不归入营业成本。
11.C
【解析】一般来说,资产负债率为50%比较合适,有利于风险与收益的平衡。
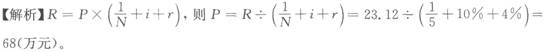
12.C
【解析】先计算累计净现金流量,如表1所示。
表1 累计净现金流量表

13.A
14.D
【解析】价值工程中所述的“价值”不是对象的使用价值,也不是对象的交换价值,而是对象的比较价值。
15.B
【解析】资本金现金流量表中的现金流出包括资本金,不包括建设投资中的银行贷款部分。16.C
【解析】贵重的设备(如重型机械设备等)宜采用融资租赁;临时使用的设备(如车辆、仪器等)通常采用经营租赁。
17.A
【解析】见图1Z101051,修理是有形磨损的局部补偿方式。
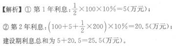
18. B
【解析】计算各年年平均使用成本如表2所示,可知第4年的580元为最低,故该设备的经济寿命为4年。
表2 年平均使用成本数据表 元

19.B

20.D
【解析】承租人无权随意对设备进行改造。
21.A
【解析】“同样的施工质量”说明功能不变,“成本降低了20%”说明成本降低。
22.C
【解析】在保证功能和质量,不违反劳动安全与环境保护的原则下,经济合理应是选择新技术方案的主要原则。
23.A
【解析】预算定额是社会性的,而施工定额则是企业性的。
24.C
【解析】流动负债包括短期借款、应付款项、应付工资、应交税金等,A项、D项是长期负债, B项是流动资产。
25.D
【解析】建造合同一般是不可撤销合同。
26.C
【解析】根据《企业会计准则》,可以将利润分为以下三个层次的指标:①营业利润;②利润总额;③净利润。
27.C
【解析】信贷限额是银行对借款人规定的无担保贷款的最高限额。
28.C

29.A
30.B
【解析】动态会计等式是反映企业在一定会计期间经营成果的会计等式,其公式为“收入-费用=利润”。
31.C
【解析】该笔款项属于一年内偿还的债务,属于流动负债中的短期借款。
32.D
【解析】资本公积包括资本溢价、资产评估增值、接受捐赠、外币折算差额等。
33.B
【解析】合同成本不包括应当计入当期损益的管理费用、销售费用和财务费用。因订立合同而发生的有关费用,应当计入当期损益。
34.A
【解析】资本公积是由投资者投入但不构成实收资本,或从其他非收益来源取得,由全体所有者共同享有的资金。
35.D
【解析】A项、B项是筹资活动,C项是经营活动。
36.B
【解析】工程成本=直接费用+间接费用=人工费+材料费+机械使用费+其他直接费+间接费用=235+43+286+45+1+26=636(万元)。
37.B
【解析】当期完成的建造(施工)合同,应当在完成时确认合同收入。
38. B
【解析】A项是盈利能力,C项是偿债能力,D项是发展能力。
39.C
【解析】利润表是反映企业在一定会计期间的经营成果的财务报表。
40.D
【解析】财务分析的方法,主要包括趋势分析法、比率分析法和因素分析法。
41.C
【解析】本期应确认的收入=3 000X 60%-1 000=800(万元)。
42.C
【解析】存货的成本,包括取得成本、储存成本和缺货成本,其中取得成本又包括订货成本和购置成本。
43.C
【解析】生产性建设工程项目总投资包括建设投资和铺底流动资金两部分。
44.B
【解析】银行财务费=680X0.4%=2.72(万元),外贸手续费=850×1.5%=12.75(万元),关税=850×20%=170(万元),增值税=(850+170)×17%=173.4(万元),
则抵岸价=850+2.72+12.75+170+173.4=1 208.87(万元)。
45.D
【解析】建设管理费包括建设单位管理费、工程监理费、工程质量监督费。
46.D
【解析】基本预备费=(设备及工器具购置费+建筑安装工程费+工程建设其他费)×基本预备费率=(1 000+1 300+600)×5%=145(万元)。
47.B
【解析】工资性补贴包括物价补贴,煤、燃气补贴,交通补贴,住房补贴,流动施工津贴等。
48.B
【解析】A项属于直接工程费;C项、D项属于措施费。
49.D
【解析】营业税=营业额×3%。
50.D
【解析】含税造价=(1 000+100)×(1+10%)×(1+5%)×(1+3.41%)=1 313.82(万元)。
51.A
【解析】工人下班前对搅拌机进行清洗的时间是准备与结束工作时间,属于有效工作时间,为必须消耗的时间。
52.B
【解析】工程量清单应由具有编制能力的招标人或受其委托具有相应资质的工程造价咨询人进行编制。
53.B
【解析】工程量清单与计价表中列明的所有需要填写的单价和合价,投标人均应填写,未填写的单价和合价,视为此项费用已包含在工程量清单的其他单价和合价中。
54.B
【解析】研究试验费是指为本建设工程项目提供或验证设计数据、资料等进行必要的研究试验及按照设计规定在建设过程中必须进行试验、验证所需的费用。
55.A
【解析】概算定额法又叫扩大单价法或扩大结构定额法,该方法要求初步设计达到一定深度,建筑结构比较明确时方可采用。
56.B
【解析】施工定额水平必须遵循平均先进的原则。
57. C![]()
58.D
59.C
60.D
【解析】不平衡报价法也叫前重后轻法,是指在总价基本确定后,调整内部各个项目的报价,以期既不提高总价,从而影响中标,又能在结算时得到更理想的经济效益。
二、多项选择题
61.BCD
【解析】偿债能力指标包括利息备付率、偿债备付率、借款偿还期、资产负债率、流动比率、速动比率;A项是盈利能力指标,E项是财务生存能力指标。
62.ABE
【解析】技术方案现金流量表主要有投资现金流量表、资本金现金流量表、投资各方现金流量表和财务计划现金流量表。
63.BDE
【解析】A项、C项是设备租赁的不足之处,且描述有误,租赁的设备不能用于担保、抵押贷款;承租人无权随意对设备进行改造。
64.ABCD
【解析】利率的高低由社会平均利润率、借贷资本的供求情况、借出资本承担的风险、通货膨胀、借出资本的期限长短等因素决定。
65.BD
【解析】A项是无形磨损,C项和E项是第一种有形磨损。
66.ABC
【解析】租赁费用主要包括租赁保证金、租金和担保费。
67.ACE
【解析】资产、负债和所有者权益是反映企业某一时点财务状况的会计要素。
68.BCDE
【解析】会计核算的基本假设包括会计主体、持续经营、会计分期和货币计量。
69.ABE
【解析】期间费用主要包括管理费用、财务费用和营业费用。
70.ACDE
【解析】低值易耗品属于存货,是流动资产。
71.ADE
【解析】B项和C项属于投资活动。
72.BCD
【解析】A项属于合同分立的条件。
73.CE
【解析】A项、B项和D项是人工费。
74.BCE
【解析】材料费是构成工程实体的,故A项和D项不是。
75.ABC
【解析】工程量清单由分部分项工程量清单、措施项目清单、其他项目清单、规费项目清单、税金项目清单组成。
76.ADE
【解析】B项、C项属于与未来企业生产经营有关的其他费用。
77.ABC
【解析】D项、E项是按生产要素内容分类的。
78.ABE
【解析】C项和D项是建设工程项目总概算的内容。
79.ACDE
【解析】工程量清单是编制招标控制价、投标报价、计算工程量、支付工程款、调整合同价款、办理竣工结算以及工程索赔等的依据。
80.ACD
【解析】B项错,应为“承包人不得为了施工方便而要求对原工程设计进行变更”;E项错,应为“无权要求补偿”。
[1] [2] [3] [4] [5] [6] [7] [8] [9]
一二建考试报名三色笔记历年真题资料免费领取可加入环球网校抖音号粉丝群领取(扫描抖音二维码环球网校抖音号加入可免费领取我们会及时在群里通知):

扫一扫上面的二维码,添加环球网校抖音号,资料免费领取
温馨提示:有任何报考及考试相关疑问,可添加网校专业老师个人微信号“hqwxxu”咨询。!考生可下载手机APP,随时掌握考试资讯!

扫一扫上面的二维码,添加老师个人微信号,所有课程七折开通
相关推荐:相关文章
如果本站所转载内容不慎侵犯了您的权益,请与我们联系
,我们将会及时处理。如转载本站内容,请注明来源:一级建造师考试网(www.jzsedu.org)。
环球网校一级建造师历年通过率比较
![]() 张君老师 |
张君老师:建造师管理授课老师,硕士。课堂气氛活跃,善于调动学员积极性,被学员称为神君老师。..[详细] |
![]() 陈明教授 |
陈明:市政授课老师。有“市政之神”和“建造师市政第一人”的美誉。工程实践培训经验丰富,授课思路清晰..[详细] |





