一级建造师网校为了让考生们更好的备考,特别收集整理了2013年一级建造师建设工程经济整理试卷资料,希望这些资料对大家有所帮助:
模拟测试题E参考答案及解析
一、单项选择题
1.A
【解析】利率的高低首先取决于社会平均利润率的高低。
2.A
【解析】年金终值系数和偿债基金系数是互为倒数,年金现值系数和资金回收系数是互为倒数,终值系数和现值系数是互为倒数。
3.C
【解析】对于非经营项目,财务分析主要分析项目的财务生存能力。
4.C
【解析】对于测定财务基准收益率的因素投资风险,资金密集项目的风险高于劳动密集的;资产专用性强的风险高于资产通用性强的;以降低生产成本为目的的风险低于以扩大产量、扩大市场份额为目的的。资金雄厚的投资主体的风险低于资金拮据的。
5.D
【解析】A项、B项和C项为静态指标,其中B项是分析偿债能力的指标。
6.A
【解析】根据我国企业历史数据统计分析,一般情况下,偿债能力分析指标中的利息备付率不宜低于2,偿债备付率不宜低于1.3。
7.D
【解析】线性盈亏平衡分析的前提条件:①生产量等于产销量;②总生产成本是产销量的线性函数;③销售收入是产销量的线性函数;④只生产单一产品,或者生产多种产品,但可以换算为单一产品计算。
8.B
【解析】A项、C项和D项是可变成本。
9.B
【解析】在单因素敏感性分析指标的选择上,如果主要分析产品价格波动对方案超额净收益的影响,可选用财务净现值作为分析指标。
10.B
【解析】A项、C项和D项属于项目资本金现金流量表的现金流出项目中的内容。
11.B
【解析】生产期利息计入成本。
12.D
【解析】一般不超过20%(经特别批准35%)。
13.A
【解析】实行从价定率办法的应纳消费税率应等于“销售额×比例税率”。
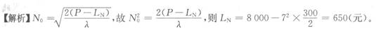
14.D![]()
15.A
【解析】敏感性分析在分析某一因素的变动时,并不能说明不确定因素发生变动的可能性是大还是小。对于此类问题,还要借助概率分析等方法。
16.B
【解析】技术寿命主要是由设备的无形磨损所决定的。
17.A
【解析】对产品部件进行价值分析,确定的改进对象是:F/C值低的功能;(C-F)值大的功能;问题多的功能;复杂的功能。
18.B
【解析】组织落实,即要把具体的实施方案落实到职能部门和有关人员。
19.A
【解析】双向型——在提高产品功能的同时,又降低产品成本,这是提高价值最为理想的途径,如重庆轻轨项目运用“墩梁并举”。
20.C
【解析】年名义利率=1.2%×12=14.4%,年实际利率=(1+1.2%)12-1=15.39%。
21.B
22.B![]()
23.A![]()
24.C![]()
25.A
【解析】建立在会计假设基础之上的会计核算,具有完整性、连续性和系统性。
26.d
【解析】在现值计量下,资产按照预计从其持续使用和最终处置中所产生的未来净现金流人量的折现金额计算。
27.C
【解析】收入、费用和利润是反映某一时期经营成果的会计要素,也称为动态会计要素。28.D
【解析】财务费用包括:①利息支出;②汇兑损失;③相关手续费(发行债券手续费、银行手续费、调剂外汇手续费,但不包括股票发行手续费);④其他财务费用。
29.D
【解析】A项、B项和C项是合同分立的要求。
30.A
【解析】营业外收入包括固定资产盘盈、处置固定资产净收益、处置无形资产净收益和罚款净收入等。
31.A
【解析】按照《公司法》,公司税后利润的分配顺序依次为:①弥补公司以前年度亏损;②提取法定公积金;③经股东会或者股东大会决议提取任意公积金;④向投资者分配的利润或股利;⑤未分配利润。
32.D
【解析】通常从购买日起三个月到期或清偿的国库券、商业本票、货币市场基金、可转换定期存单、商业本票及银行承兑汇票等都可列为现金等价物;企业作为短期投资而购入的可流通的股票,由于其变现的金额并不确定,其价值变动的风险较大,因而不属于现金等价物
[1] [2] [3] [4] [5] [6] [7] [8] [9] 
一二建考试报名三色笔记历年真题资料免费领取可加入环球网校抖音号粉丝群领取(扫描抖音二维码环球网校抖音号加入可免费领取我们会及时在群里通知):

扫一扫上面的二维码,添加环球网校抖音号,资料免费领取
温馨提示:有任何报考及考试相关疑问,可添加网校专业老师个人微信号“hqwxxu”咨询。!考生可下载手机APP,随时掌握考试资讯!

扫一扫上面的二维码,添加老师个人微信号,所有课程七折开通
相关推荐:相关文章
如果本站所转载内容不慎侵犯了您的权益,请与我们联系
,我们将会及时处理。如转载本站内容,请注明来源:一级建造师考试网(www.jzsedu.org)。
环球网校一级建造师历年通过率比较
![]() 张君老师 |
张君老师:建造师管理授课老师,硕士。课堂气氛活跃,善于调动学员积极性,被学员称为神君老师。..[详细] |
![]() 陈明教授 |
陈明:市政授课老师。有“市政之神”和“建造师市政第一人”的美誉。工程实践培训经验丰富,授课思路清晰..[详细] |





