一级建造师网校为帮助考生顺利通过2013年一级建造师考试,网校小编特搜集整理了名义利率和有效利率的计算考题资料,希望能够给您带来一定的收获,一级建造师考试网全体编辑们祝大家考试顺利通关。更多建造师考试资料请关注本网站!
【考题回顾】
【2010年度考试真题】
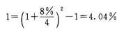
年利率8%,按季度复利计息,则半年期实际利率为()。
A.4.00%
B.4.04%
C.4.07%
D.4.12%
【答案】B本题考核的是名义利率和实际利率的换算。 
。
提示:r/m中的m等于一年计息的次数(本题中,一年有四个季度,就计息四次),公式中的指数m等于所求实际利率的周期与计息周期的比值。
【2009年度考试真题】
已知年名义利率为10%,每季度计息1次,复利计息,则年有效利率为()。
A.10.47%
B.10.38%
C.10.25%
D.10.00%
【答案】B本题考核的是年有效利率的计算。 

【2007年度考试真题】
已知年利率12%,每月复利计息一次,则季实际利率为()。
A.1.003%
B.3.00%
C.3.03%
D.4.00%
【答案】C本题考核的是季实际利率的计算。有效利率=r/m=12%/12=1%,则季有效利率=(1+12%/12)3-1=3.03%。
【2006年度考试真题】
年名义利率为i,一年内计息周期数为m,则年有效利率为()。



【答案】B本题考核的是年有效利率的计算公式。年有效利率的计算公式为F=(1+i/m)m-1。
一二建考试报名三色笔记历年真题资料免费领取可加入环球网校抖音号粉丝群领取(扫描抖音二维码环球网校抖音号加入可免费领取我们会及时在群里通知):

扫一扫上面的二维码,添加环球网校抖音号,资料免费领取
温馨提示:有任何报考及考试相关疑问,可添加网校专业老师个人微信号“hqwxxu”咨询。!考生可下载手机APP,随时掌握考试资讯!

扫一扫上面的二维码,添加老师个人微信号,所有课程七折开通
相关推荐:相关文章
如果本站所转载内容不慎侵犯了您的权益,请与我们联系
,我们将会及时处理。如转载本站内容,请注明来源:一级建造师考试网(www.jzsedu.org)。
环球网校一级建造师历年通过率比较
![]() 张君老师 |
张君老师:建造师管理授课老师,硕士。课堂气氛活跃,善于调动学员积极性,被学员称为神君老师。..[详细] |
![]() 陈明教授 |
陈明:市政授课老师。有“市政之神”和“建造师市政第一人”的美誉。工程实践培训经验丰富,授课思路清晰..[详细] |





