2012年一级注册建造师建设工程经济预测试卷七(1)
单项选择题(共60分。每题1分。每题的备选项中,只有一个最符合题意)
1.在利润分配项目中,应优先提取的是()。
A. 法定盈余公积金
B. 任意盈余公积金 一级建造师成绩查询
C. 普通股股利
D. 优先股股利
2. 通过项目财务现金流量表可计算的评价指标是()。
A. 基准收益率
B. 收益
C. 财务净现值
D. 基准投资回收期
3. 某施工企业2006年利润计算数据如下:工程结算收入24380000元;工程结算成本20893460元;工程结算税金及附加804540元;产品销售,机械作业销售,材料销售,无形资产转让和固定资产出租等其他经营业务共计取得收入2600000 元;其他业务成本2000000元;其他业务应负担税金60800 元;营理费用1045000 元;财务费用176300元;投资收益140800元。该企业营业利润为()元。
A. 24380000
B. 2682000
C. 2140700
D. 1999900
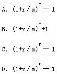
4. 名义利率为r ,一年中计息周期数为m ,计息周期的有效利率为r /m ,则年有效利率为()。 
5.某投资方案寿命期为5 年,每年净现金流量如下表。折现率为12%,第5 年投资恰好全部收回,则该公司内部收益率为()。
A.大于12 %
B.等于12 %
C.小于12 %
D.无法确定
6.若某项目的动态投资回收期刚好等于项目计算期,则必然有( )。
A.动态投资回收期大于基准投资回收期
B.动态投资回收期小于基准投资回收期
C.内部收益率等于基准收益率
D.内部收益率大于基准收益率
7.总资产报酬率指标的计算公式( )。
A.利息总额/资产总额x100%
B.税前利润/平均资产总额X100 %
C.息税前利润总额/平均资产总额X 100%
D.税后利润/平均资产总额X 100%
8.资金的时间价值是指( )。
A.现在所拥有的资金在将来投资时所能获得的收益
B.现在所拥有的资金在将来消费时所付出的福利损失
C.资金在生产和流通过程中随时间推移而产生的增值
D.可用于储蓄或贷款的资金在储蓄或贷款时所产生的利息
9.下列有关盈亏平衡点的判断,正确的是( )。
A.盈亏平衡点越低越好
B.盈亏平衡点的表达式是惟一的
C.盈亏平衡点的结果是惟一的
D.盈亏平衡点越高越好
10.当企业在小于盈亏平衡产量Qo的产销量下组织生产,则项目( )。
A.亏损
B.盈利
C. 不亏不盈
D.视企业具体情况而定
一二建考试报名三色笔记历年真题资料免费领取可加入环球网校抖音号粉丝群领取(扫描抖音二维码环球网校抖音号加入可免费领取我们会及时在群里通知):

扫一扫上面的二维码,添加环球网校抖音号,资料免费领取
温馨提示:有任何报考及考试相关疑问,可添加网校专业老师个人微信号“hqwxxu”咨询。!考生可下载手机APP,随时掌握考试资讯!

扫一扫上面的二维码,添加老师个人微信号,所有课程七折开通
相关推荐:相关文章
如果本站所转载内容不慎侵犯了您的权益,请与我们联系
,我们将会及时处理。如转载本站内容,请注明来源:一级建造师考试网(www.jzsedu.org)。
环球网校一级建造师历年通过率比较
![]() 张君老师 |
张君老师:建造师管理授课老师,硕士。课堂气氛活跃,善于调动学员积极性,被学员称为神君老师。..[详细] |
![]() 陈明教授 |
陈明:市政授课老师。有“市政之神”和“建造师市政第一人”的美誉。工程实践培训经验丰富,授课思路清晰..[详细] |





