2011年一级建造师建设工程经济模拟题(6)
51、下列不属于短期投资的目的为:( )。
A.将资金投放于其他企业以谋求经营收益
B.利用控股方式实现企业扩张
C.利用生产经营暂时闲置资金谋求收益
D.将资金分散运用以防范风险
52、施工企业存货包括( )。
A.施工机械
B.企业办公楼
C.运输机械
D.在建施工产品
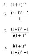
53、下列属于年金现值系数的是( )。
54、下列说法错误的是( )。
A.在工程经济分析中,如果各方案的计息期不同必须换算成有效利率进行评价
B.对于各种投资项目进行评价可采用静态评价指标
C.动态评价指标强调利用复利法计算资金时间价值
D.投资收益率(R)指标适用于各种投资规模
55、设备的经济寿命是指从开始投入到( )的使用年限。
A.经常发生故障
B.设备报废
C.维修费大于其收益
D.其年度费用最小
56、现金等价物的期限短的特点一般是指从购买日起( )到期。
A.一个月后 一级建造师考试网
B.二个月后
C.三个月内
D.六个月内
57、建设项目年设计生产能力为10万台,年固定成本为1200万元,产品单台销售价格为900元,单台产品可变成本为560元,单台产品销售税金及附加为120元。盈亏平衡点的产销量为( )。
A.45454
B.54545
C.35294
D.15385
58、如果某一借款要属于长期借款资金,那么其借款年限最低应为( )。
A.一年以上
B.三年以上
C.二年以上
D.五年以上
59、已知某企业的税前利润为650万元,所得税为50万元,平均资产总额为1000万元,求企业的总资产报酬率( )。
A.50%
B.60%
C.70%
D.25%
60、下列不属于固定性成本的是( )。
A.生产人员工资
B.折旧费
C.无形资产及其他资产摊销费
D.办公费
一二建考试报名三色笔记历年真题资料免费领取可加入环球网校抖音号粉丝群领取(扫描抖音二维码环球网校抖音号加入可免费领取我们会及时在群里通知):

扫一扫上面的二维码,添加环球网校抖音号,资料免费领取
温馨提示:有任何报考及考试相关疑问,可添加网校专业老师个人微信号“hqwxxu”咨询。!考生可下载手机APP,随时掌握考试资讯!

扫一扫上面的二维码,添加老师个人微信号,所有课程七折开通
相关推荐:相关文章
如果本站所转载内容不慎侵犯了您的权益,请与我们联系
,我们将会及时处理。如转载本站内容,请注明来源:一级建造师考试网(www.jzsedu.org)。
环球网校一级建造师历年通过率比较
![]() 张君老师 |
张君老师:建造师管理授课老师,硕士。课堂气氛活跃,善于调动学员积极性,被学员称为神君老师。..[详细] |
![]() 陈明教授 |
陈明:市政授课老师。有“市政之神”和“建造师市政第一人”的美誉。工程实践培训经验丰富,授课思路清晰..[详细] |





