2010年一级建造师建设工程经济备考练习(31)
A.敏感度系数的数值会有所变化
B.敏感度系数的数值不会变化
C.敏感度系数的数值会变大
D.敏感度系数的数值会变小
2.在进行单因素敏感性分析时,如果主要分析投资大小对方案资金回收能力的影响,一般选用下列哪项指标?(C)
A.投资回收期
B.财务净现值
C.FIRR
D.FNPVR
3.某设备原始价值为10000元,预计残值为零,年均低劣化增加值为400元,则该设备最优更新期为(C)
A.5年
B.6年
C.7年
D.8年
4.功能评价的方法可分为(C)两大类
A.财务净现值法和净年值法
B.建设成本法和使用成本法
C.功能成本法与功能指数法
D.最小费用法和价值指数法
5.下列项目中,(D)会随着利率的提高而变大。
A.复利现值
B.财务净现值
C.年金现值
D.年金终值
6.在其他条件相同的情况下,考虑资金的时间价值时,下列现金流量图中效益最好的是(C)。

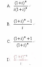
7.在下列公式中,(B)是计算年金终值系数的正确公式。

8.设备磨损分为(C)。
A.有形磨损和物质磨损
B.有形磨损和自然力磨损
C.物质磨损和精神磨损
D.无形磨损和经济磨损
9.设备的自然寿命也可以叫做(B)
A.技术寿命
B.物质寿命
C.经济寿命 一级建造师培训www.jzsedu.org/school/
D.有效寿命
10.在投资项目决策阶段,主要投入不包括(A)
A.土地征用费
B.市场调查分析费
C.可行性研究费
D.投资机会分析费
一二建考试报名三色笔记历年真题资料免费领取可加入环球网校抖音号粉丝群领取(扫描抖音二维码环球网校抖音号加入可免费领取我们会及时在群里通知):

扫一扫上面的二维码,添加环球网校抖音号,资料免费领取
温馨提示:有任何报考及考试相关疑问,可添加网校专业老师个人微信号“hqwxxu”咨询。!考生可下载手机APP,随时掌握考试资讯!

扫一扫上面的二维码,添加老师个人微信号,所有课程七折开通
相关推荐:相关文章
版权声明 --------------------------------------------------------------------------------------
如果本站所转载内容不慎侵犯了您的权益,请与我们联系
,我们将会及时处理。如转载本站内容,请注明来源:一级建造师考试网(www.jzsedu.org)。
如果本站所转载内容不慎侵犯了您的权益,请与我们联系
,我们将会及时处理。如转载本站内容,请注明来源:一级建造师考试网(www.jzsedu.org)。学员登陆
网校历年通过率

环球网校一级建造师历年通过率比较
![]() 张君老师 |
张君老师:建造师管理授课老师,硕士。课堂气氛活跃,善于调动学员积极性,被学员称为神君老师。..[详细] |
![]() 陈明教授 |
陈明:市政授课老师。有“市政之神”和“建造师市政第一人”的美誉。工程实践培训经验丰富,授课思路清晰..[详细] |





